Hola Alguien me explica cómo se resuelve esto? No quiero resolución quiero que me lo expliquen porque sino no lo entiendo.
Me he quedado atascada en lo naranja.
Muchas gracias


Espero que así te haya quedado más claro, he multiplicado por (x+2)^2 a ambos lados de la igualdad, en el lado izquierdo de la igualdad, hay una simplificación con el denominador, y en el lado derecho como ves, 0. (X+2)^2 = 0
De esta forma te queda lo que esta remarcado en cuadro.
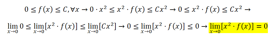
Problemas de nuevo con este limite, por l'hopital da 6, pero me mandaron a resolverlo sin aplicar l'hopital:(