Foro de preguntas y respuestas de Matemáticas

logo beUnicoos
Los foros de unicoos se han unificado en nuestra nueva plataforma beUnicoos. Para dejar nuevas preguntas deberás hacerlo allí, donde además podrás encontrar nuevas asignaturas y herramientas para ayudarte más con tus estudios.

  • Usuario eliminado
    el 26/11/17
    flag


    replythumb_up0 voto/sflag
    icon

    Juan
    el 26/11/17

    1/3, es decir, 3^-1 ya que tienes que buscar la inversa de det(A)


    thumb_up0 voto/sflag
    icon

    Antonius Benedictus
    el 26/11/17

    Si A tiene inversa, entonces:

    det(A^-1)=1/det(A)

    El determinante de la inversa es el inverso del determinante.

    thumb_up0 voto/sflag

    Usuario eliminado
    el 26/11/17
    flag

    En este caso, que pide transpuesta  sería la b no?

    thumb_up0 voto/sflag
    icon

    Antonius Benedictus
    el 26/11/17

    Sí, porque det(A)=det(A^T)

    thumb_up1 voto/sflag
  • icon

    Cristina Iglesias
    el 26/11/17
    flag


    replythumb_up0 voto/sflag
    icon

    Antonius Benedictus
    el 26/11/17

    icon

    Cristina Iglesias
    el 26/11/17

    Si ya vi los videos Antonio pero no soy capz de hacerlo me lio de una manera impresionante y no soy capz de dar con el resultado 


    thumb_up0 voto/sflag
  • icon

    Alex Ramirez
    el 26/11/17

    Este seria el enunciado original (se puede obviar el apartado A):


    replythumb_up0 voto/sflag
    icon

    Antonius Benedictus
    el 26/11/17


    thumb_up0 voto/sflag
    icon

    Antonius Benedictus
    el 26/11/17


    thumb_up0 voto/sflag
  • icon

    Cristina Iglesias
    el 26/11/17


    El ejercicio 1 y 2 no soy capaz de hacerlo y el 3 apartado b tampoco si alguien me puede ayudar o me los hace pero explicando como lo hizo lo entendería 

    Gracias de antemano es muy Urgente una respuesta 

    replythumb_up0 voto/sflag
    icon

    Antonius Benedictus
    el 26/11/17


    thumb_up0 voto/sflag
  • icon

    Alex Ramirez
    el 26/11/17

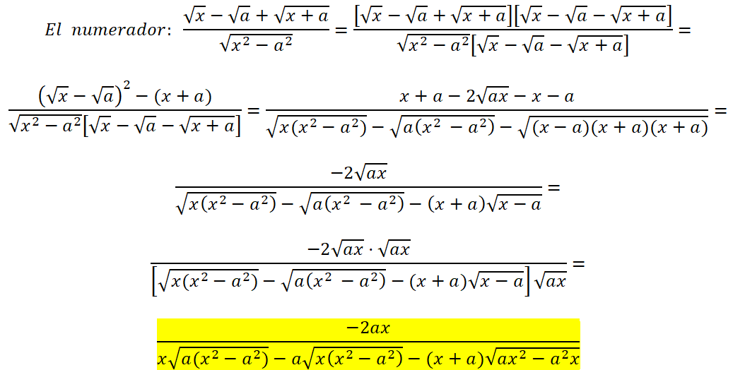
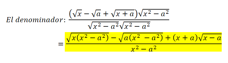
    Muy buenas a todos, ¿podrían ayudarme con este ejercicio? Se trata de racionalizar y simplificar la siguiente expresión:

    replythumb_up0 voto/sflag
    icon

    Antonius Benedictus
    el 26/11/17

    Pon foto del enunciado original, por favor.

    thumb_up0 voto/sflag
  • Usuario eliminado
    el 26/11/17

    Hola Unicoos por favor alguien que me ayude a entender que paso aqui


    replythumb_up0 voto/sflag
    icon

    Antonius Benedictus
    el 26/11/17


    thumb_up1 voto/sflag
  • Usuario eliminado
    el 26/11/17

    Hola Unicoos, estoy teniendo problemas con los limites trigonometricos inversos, por favor alguien que me diga cual es el truco en esto? :( 

    replythumb_up0 voto/sflag
    icon

    Antonius Benedictus
    el 26/11/17

    No hay trucos. Manejar con soltura las fórmulas de trigonometría y conocer los infinitésimos equivalentes correspondientes. Y, por supuesto, mucha práctica.

    thumb_up1 voto/sflag
  • icon

    federico garcia
    el 26/11/17

    no se si esta bien hallado dominio?, gracias

    replythumb_up0 voto/sflag
    icon

    Antonius Benedictus
    el 26/11/17

    El denominador nuca se anula. La ecuación está mal resuelta. El numerador existe para  x<=2.

    El dominio es: (-inf, 2I  (cerrado en 2)

    thumb_up0 voto/sflag
  • icon

    federico garcia
    el 26/11/17

    que pasos habría que dar en este caso para hallar dominio?

    replythumb_up0 voto/sflag
    icon

    Ángel
    el 26/11/17

    ln((x2+3)/2x)-1)=

    ln((x2+3-2x)/2x)=

    ln((x2-2x+3)/2x)

    **Sabes que en el ln(x) tiene que tener siempre la x positiva, análogamente la fracción (x2-2x+3)/2x tendrá que resultar positiva

    Como x2-2x+3 siempre será positivo en ℛ (observa que al hacer x2-2x+3=0 se obtienen valores negativos dentro de la raíz), tendremos que descartar los valores negativos de x porque el denominador se haría negativo y positivo÷negativo es negativo y también el cero (por indeterminar la función de dentro del ln) ; por lo que Dominio f(x) = (0,inf)


    thumb_up0 voto/sflag