
¡Hola! Nos encantaría ayudarte, pero no solemos responder dudas universitarias que no tengan que ver específicamente con los vídeos que David Calle ha grabado como excepción. O de otras asignaturas que no sean Matemáticas, Física y Química. Lo sentimos de corazón… Esperamos que lo entiendas.
Ojalá algún unicoo universitario se anime a ayudarte (de hecho, lo ideal es que todos los universitarios intentarais ayudaros los unos a los otros).
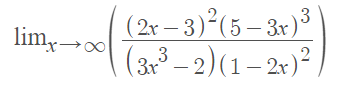
lim(x→∞) ((2x-3)2(5-3x)3) / ((3x3-2)(1-2x)2)=
lim(x→∞) ((2x-3)2(5-3x)2*(5-3x)) / ((3x3-2)(1-2x)2)=
lim(x→∞) ((4x2+9-12x)*(25+9x2-30x)*(5-3x)) / ((3x3-2)*(1+4x2-4x))=
lim(x→∞) ((4x2+9-12x)*(125-75x+45x2-27x3-150x+90x2)) / ((3x3-2)*(1+4x2-4x))=
lim(x→∞) (500x2-300x3+225x2-108x5-600x3+360x4+1125-675x+405x2-243x3-1350x+810x2-1500x+900x2-540x3+324x4+1800x2-1080x) / ((3x3-2)*(1+4x2-4x))=
lim(x→∞) (-108x5+684x4-1143x3+4640x2-4605x+1125) / (3x3+12x5-12x4-2-8x2+8x)=
lim(x→∞) ((-108x5)/x5+(684x4)/x5 -(1143x3)/x5 +(4640x2)/x5 -(4605x)/x5 +(1125)/x5) / ((3x3)/x5+ (12x5)/x5- (12x4)/x5- ((2)/x5) -(8x2)/x5 +(8x)/x5)=
(-108 +(684∞4)/∞5 -(1143∞3)/∞5 +(4640∞2)/∞5 -(4605∞)/∞5 +(1125)/∞5) / ((3∞3)/∞5+ 12 - (12∞4)/∞5- ((2)/∞5) -(8∞2)/∞5 +(8∞)/∞5)=
(-108 + 0 - 0 + 0 - 0 + 0) / (0 + 12 - 0 -0 -0 + 0)=
-108/12=
-9