Foro de preguntas y respuestas de Matemáticas

logo beUnicoos
Los foros de unicoos se han unificado en nuestra nueva plataforma beUnicoos. Para dejar nuevas preguntas deberás hacerlo allí, donde además podrás encontrar nuevas asignaturas y herramientas para ayudarte más con tus estudios.

  • icon

    Sebastian Canaviiri
    el 2/6/17

    Hola me ayudarían con esta? Gracias

    replythumb_up0 voto/sflag
    icon

    Antonius Benedictus
    el 2/6/17


    thumb_up1 voto/sflag
  • Usuario eliminado
    el 2/6/17

    Hola, buenas tardes:

    Quería preguntarles una cosa de teoría sobre integrales y derivadas.

    Me han dado un ejercicio para saber si són verdaderos o falsos los siguientes anunciados:

    1. Toda función continua es derivable      3. Toda función integrable es continua

    2. Toda función derivable es integrable    4. Toda función derivable es continua 

    Mi opinión es que la 1 y la dos son ciertas, pero no se como poner un contraejemplo para las falsas. 

    Que opináis?



    replythumb_up0 voto/sflag
    icon

    Antonius Benedictus
    el 2/6/17

    1)  FALSA:   Por ejemplo,  y=Valor absoluto (x)  en x=0

    2) FALSA: Una función integrable puede tener hasta infinitas discontinuidades.

    3) VERDADERA: Si es derivable, es continua. Y si es continua, es integrable.

    4) VERDADERA.

    thumb_up0 voto/sflag

    Usuario eliminado
    el 2/6/17

    La 2 y la 3, querias decir al reves, verdad?

    thumb_up0 voto/sflag
    icon

    Antonius Benedictus
    el 2/6/17

    Sí, si, disculpa.

    thumb_up0 voto/sflag
  • icon

    Leandro Coche
    el 2/6/17

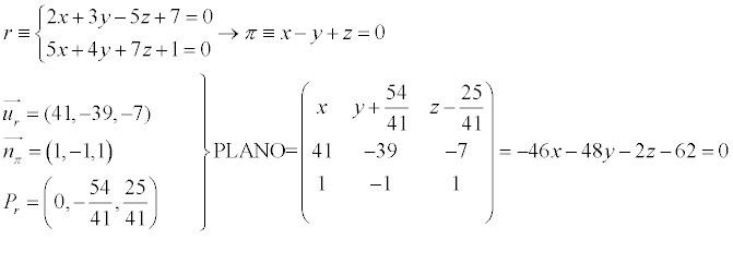
    una vez que eh sacado el vector normal al plano y el vector dirección que debo hacer?


    replythumb_up0 voto/sflag
    icon

    Antonius Benedictus
    el 2/6/17


    thumb_up1 voto/sflag
    icon

    César
    el 2/6/17


    thumb_up0 voto/sflag
  • icon

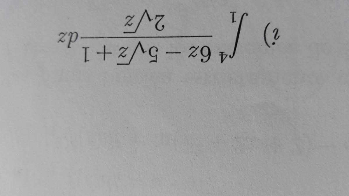
    fernando
    el 2/6/17

    Jose ,juan, y ana quieren comprar 1 regalo que vale 120€ a un amigo. Ana pone 20 euros más que Juan y josé pone la mitad de lo que pone Juan. Cuantos euros pone cada uno?


    Lo de la mitad no entiendo como representarlo Yo diria que la ecuacion iria asi


    Jose ->

    Juan -> X

    Ana-> x+20


    No sé si lo de Juan habría que  hacerlo.

    replythumb_up0 voto/sflag
    icon

    Ángel
    el 2/6/17

    Juan= x 

    Jose= x/2

    Ana= x+20


    Juan + Jose + Ana = 120 euros

        x   + x/2 + (x+20) = 120

    (2x+x+2x+40)/2 = (240)/2

    2x+x+2x+40 = 240

    5x = 200

    x=40


    Entonces, la cantidad que pusieron de dinero cada uno es:

    Juan-----> x= 40 euros

    Jose---------> x/2 = 40/2= 20 euros

    Ana------> x+20= 40+20= 60 euros



    thumb_up0 voto/sflag
  • icon

    fina
    el 2/6/17

    Como hago el primer ejercicio ??


    replythumb_up0 voto/sflag
    icon

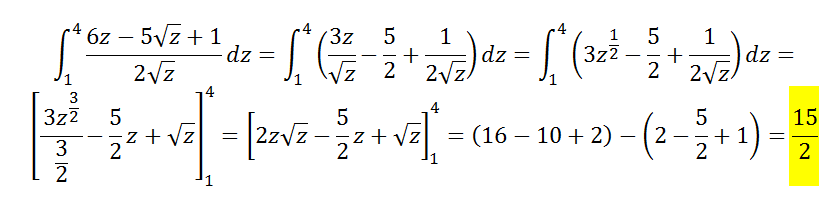
    fina
    el 3/6/17

    ya vi ese video pero los resultados siguen sin darme. no puedo entenderlo


    thumb_up0 voto/sflag
    icon

    Ángel
    el 3/6/17


    thumb_up1 voto/sflag
  • icon

    Nerea
    el 2/6/17

    Hola necesito ayuda con matemáticas financieras no sé si me podríais ayudar

    replythumb_up0 voto/sflag
    icon

    Ángel
    el 2/6/17

    Envía tu pregunta a ver que podemos hacer, pero recuerda que está fuera del contenido de Unicoos por ahora.

    thumb_up0 voto/sflag
  • icon

    ojos quemados
    el 2/6/17

    Hola muy buenas. En álgebra lineal. ¿Que aprender primero, producto interno entre espacios vectoriales, o transformaciones lineales? muchas gracias

    replythumb_up0 voto/sflag
    icon

    Antonius Benedictus
    el 2/6/17

    Aprende todo, amigo/a, que todo es importante.

    thumb_up1 voto/sflag
  • icon

    Jon Aginaga
    el 2/6/17

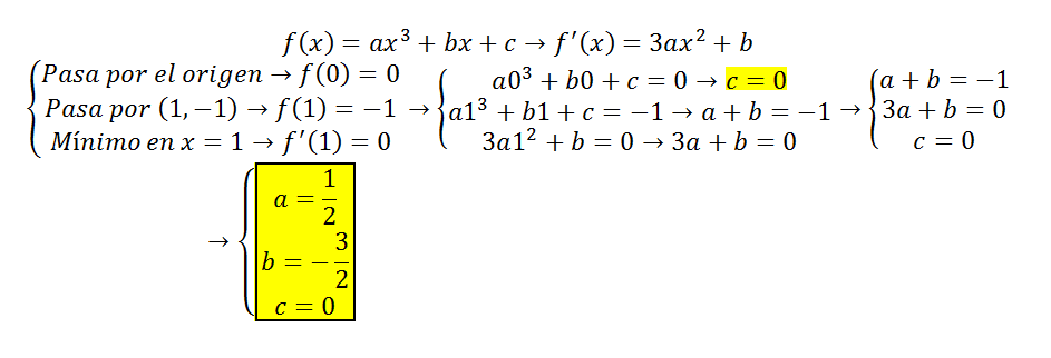
    Buenas. ¿cómo se haría este ejercicio? ¡Muchas gracias!

    f(x)=ax^3+bx+c

    Obtener los valores de a,b y c para que pase por el origen de las coordenadas y tenga un mínimo en el punto (1,-1).


    replythumb_up0 voto/sflag
    icon

    Antonius Benedictus
    el 2/6/17


    thumb_up0 voto/sflag
  • icon

    fernando
    el 2/6/17


    cual es el fallo que cometo?  He probado 3 veces a hacerlo, y no doy con el error.

    replythumb_up0 voto/sflag
    icon

    Antonius Benedictus
    el 2/6/17

    La raya de fracción (así como la cajita de la raíz) tiene EFECTO PARÉNTESIS. Por eso, cuando efectúas la resta de fracciones, tienes que poner  +5x   en vez de   -5x.

    thumb_up0 voto/sflag
    icon

    Ángel
    el 2/6/17


    thumb_up1 voto/sflag
    icon

    fernando
    el 2/6/17

    es decir, el signo menos afecta a los 2 numeros, no? Si me ha quedado claro. ( al 40  5)


    thumb_up0 voto/sflag
    icon

    Ángel
    el 2/6/17

    Claro, afecta en ese caso a todo el numerador:

    - (40-5x) = -40+5x

    thumb_up0 voto/sflag
  • icon

    Alba Garrido
    el 2/6/17

    Hola, me podrías decir que es el nivel de significación estadística y cómo se calcula?

    replythumb_up0 voto/sflag
    icon

    Antonius Benedictus
    el 2/6/17

    Si nos propones un ejercicio que no te salga, te explicamos cómo se calcula.

    thumb_up0 voto/sflag