me ayudan con este problema que las permutaciones las llevo muy verdes
-¿Cuantas palabras distintas de 4 letras con significado o sin el, se pueden formar con las letras de la palabra GAME?
a) Si las colocamos en orden alfabetico, ¿en que posición estará la palabra GAME?
Discutir en función de m el siguiente sistema con coeficientes reales:
x + y + z = m - 1
x + y + mz = 0
x + my + z = 2
Cuando m = 1, los rangos de A y de A ampliada = 1 (sistema compatible indeterminado), sustituyo y me queda:
x + y + z = 0
x + y + z = 0
x + y + z = 2
¿Tiene infinitas soluciones? ¿O sería incompatible? Porque al dejar la x en función de y = k, z = λ, una ecuación es igual a 0 y la otra a 2.
Gracias.
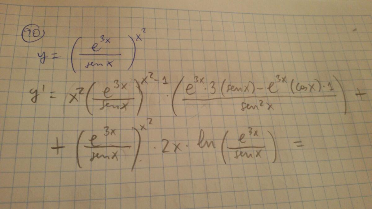
No...la forma correcta de proceder en este tipo de derivadas es aplicar la ley de exponentes----> ab=eb*lna
y f(x) queda como f(x)= ex^2*ln[(e^3x)/senx]
deriva por separado x^2*ln[(e^3x)/senx] =u
te quedará f´(x)= ex^2*ln[(e^3x)/senx] *u´
y simplificas.
(haz el intento y si no te sale te ayudamos)
Urgente!!! Alguien me puede ayudar con dilataciones y contracciones de funciones para un examen de matemáticas lo agradecería muchísimo, por favor el examen lo tengo mañana
Necesito ayuda URGENTE, el viernes 10 tengo un examen de recuperación de matematicás y de el depende el hacer la Evau en junio o en julio. Mi duda es en respecto a un dos ejercicios que me han puesto en los examenes que he suspendido, y cómo todavía no consigo entenderlos. Ambos pertencen al tema de intervalos de confianza en el muestreo de la media.
-La longuitud en cm de las crías de una determinada especie animla se distribuy normalmente con desviación típica igual a 0.5 cm. Se toma nua muestra de tamaño 125. Calcula la probabilidad de que el valor absoluto de la diferencia este entre la media de la muestra y la media de la población y que sea menor que 1,1 cm.
-En una gran ciudad la desviación típica del gasto medio semanal de los jovenes es de 6 euros. Elegidos 100 jovenes, su gasto medio semanal es de 25 euros y para estimar el gasto medio de todos los jóvenes se construye un intervalo de confianza de longuitud igual a 2.352 euros a partir de los datos obtenidos en la muestra. ¿Cuál es el nivel de confianza utilizado?Razona la respuesta.
Estos son ambos problemas que no consigo resolver
tengo una pregunta respecto a este ejercicio el apartado a b c me queda claro el apartado d y e estoy atascado no se de donde se obtiene esos valores creo q no logro aplicar bien la formula pero tampoco me lo especifica en este ejercicio adjunto la imagen espero me puedas orientar en el apartado ( d y e) gracias un saludo![]()
![]()

¡Hola! Nos encantaría ayudarte, pero no solemos responder dudas universitarias que no tengan que ver específicamente con los vídeos que David ha grabado como excepción. O de otras asignaturas que no sean Matemáticas, Física y Química. Lo sentimos de corazón… Esperamos que lo entiendas.
Ojalá algún unicoo universitario se anime a ayudarte (de hecho, lo ideal es que todos los universitarios intentarais ayudaros los unos a los otros).