Foro de preguntas y respuestas de Matemáticas

logo beUnicoos
Los foros de unicoos se han unificado en nuestra nueva plataforma beUnicoos. Para dejar nuevas preguntas deberás hacerlo allí, donde además podrás encontrar nuevas asignaturas y herramientas para ayudarte más con tus estudios.

  • Usuario eliminado
    el 1/6/17


    replythumb_up1 voto/sflag
    icon

    Alejandro García Candelas
    el 1/6/17


    thumb_up0 voto/sflag
    icon

    Antonius Benedictus
    el 1/6/17


    thumb_up0 voto/sflag
  • icon

    Cristina Iglesias
    el 1/6/17

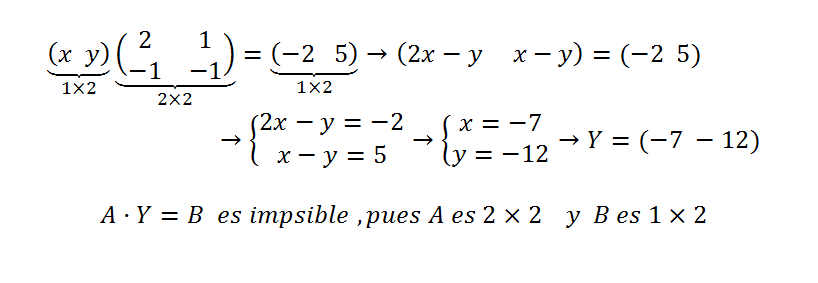
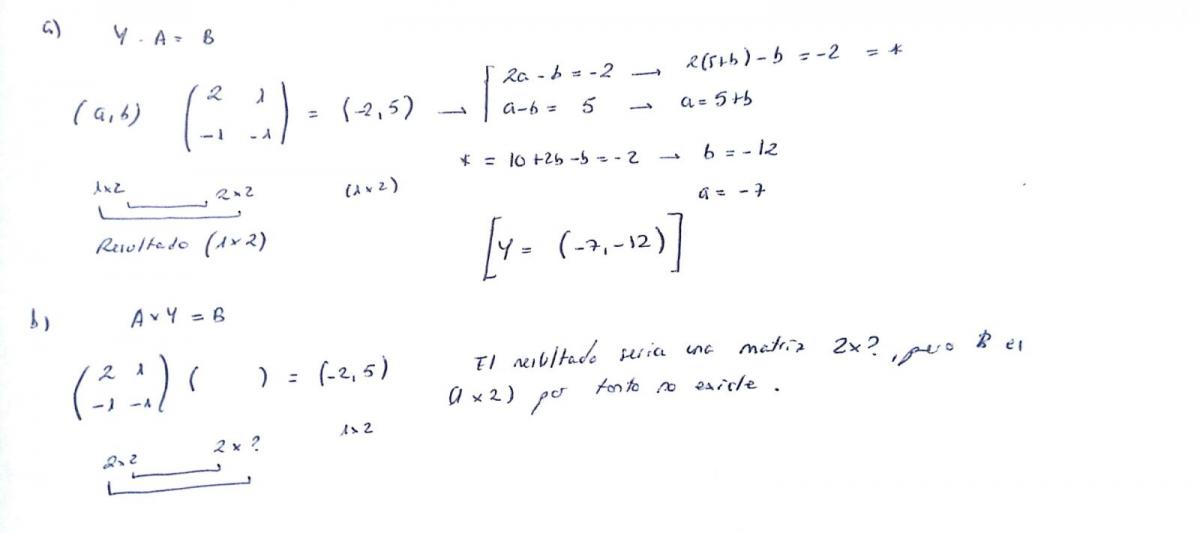
    3. Halla el punto simétrico de P(0,2,1) respecto al plano π: x+y-z=2

    4.determina la ecuación de un plano π paralelo al plano de ecuación 2x-y+z+4=0 que dista 10 unidades del punto (2,0,1)

    Estos dos necesito saber si los hice bien


    Gracias

    replythumb_up0 voto/sflag
    icon

    César
    el 1/6/17

    Pon lo que has hecho


    thumb_up0 voto/sflag
    icon

    Cristina Iglesias
    el 1/6/17

    No me deja subir la foto porque estoy con el móvil...

    Si me lo adjunta usted seria de agradecer.


    Gracias

    thumb_up0 voto/sflag
  • icon

    Carmen
    el 1/6/17

    Perdón, soy la chica de antes. Estoy intentando saber el proceso completo en esta integral y pensaba que hay que hacer un cambio de variable 

    replythumb_up0 voto/sflag
    icon

    Antonius Benedictus
    el 1/6/17

    Es que has puesto "derivada" en la entrada de abajo.

    El cambio de variable es t=x^3

    Entoonces:  dt=3x^2 dx

    Queda x^2 dx=(1/3) dt

    La  integral de (1/3) e^t dt  es  (1/3) e^t

    O sea, (1/3) e^(x^3)

    Para terminar la integral definida, la regla de Barrow.

    thumb_up0 voto/sflag
  • icon

    Carmen
    el 1/6/17

    Alguien me puede explicar cómo se hace la derivada de e^x^3??? 


    replythumb_up0 voto/sflag
    icon

    Antonius Benedictus
    el 1/6/17

    Por la regla de la cadena:

    y'=3x^2 ·e^(x^3)

    Visiona esto vídeos:


    Regla de la cadena

    thumb_up0 voto/sflag
  • icon

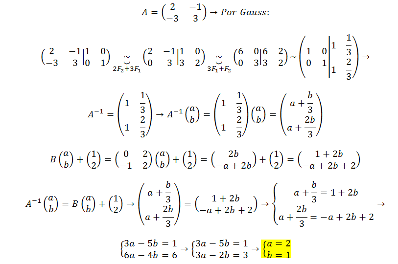
    Igone
    el 1/6/17

    Alguien que resuelva este ejercicio y que me lo explique por favor.


    replythumb_up0 voto/sflag
    icon

    César
    el 1/6/17

    El c te lo dejo a ti 

    thumb_up0 voto/sflag
  • icon

    Elia
    el 1/6/17

    Alguien podría decirme en qué casos se aplica la corrección de yates? por qué en algunas distribuciones normales se aplica y en otras no? gracias


    replythumb_up0 voto/sflag
    icon

    Antonius Benedictus
    el 1/6/17

    Cuando aproximas una v.a. discreta (que toma valores sueltos) por una v.a. continua (donde la probabilidad se da solo en intervalos), has de hacerla.

    En particular, cuando aproximas una binomial B(n,p)  por una normal N(np, sqrt(npq))

    thumb_up0 voto/sflag
  • icon

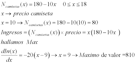
    Igone
    el 1/6/17

    Alguien me podría explicar como se hace el b)?


    replythumb_up0 voto/sflag
    icon

    Antonius Benedictus
    el 1/6/17


    thumb_up0 voto/sflag
    icon

    César
    el 1/6/17

    por algun lado algo hice mal, revisalo y a ver si te ayuda

    thumb_up0 voto/sflag
    icon

    Igone
    el 1/6/17

    Yo lo he hecho de otra manera y no me sale el mismo resultado, no encuentro el fallo.

    thumb_up0 voto/sflag
  • icon

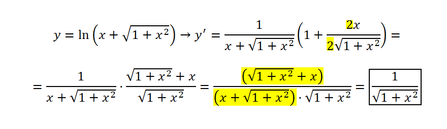
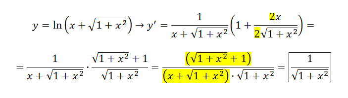
    Rubén
    el 1/6/17

    Hola. ¿Me pueden decir si he hecho bien esta derivada?


    replythumb_up0 voto/sflag
    icon

    Antonius Benedictus
    el 1/6/17

    Está bien hecha, pero te falta lo mejor:


    thumb_up0 voto/sflag
    icon

    Rubén
    el 1/6/17

    No lo entiendo como lo has simplificado

    thumb_up0 voto/sflag
    icon

    Antonius Benedictus
    el 1/6/17

    El factor amarillo del numerador y el del denominador  ¡coinciden!

    thumb_up0 voto/sflag
    icon

    Rubén
    el 1/6/17

    Pero si en el numerador pone "+1" y en el denominador pone "+x"

    thumb_up0 voto/sflag
    icon

    Antonius Benedictus
    el 2/6/17

    Fue un despiste al pasarlo a limpio:


    thumb_up0 voto/sflag
  • icon

    kevin calderon
    el 1/6/17
    flag

     Calcula la massa molar de: a) clorur de zinc ZnCl2 b) dihidròxid de plom Pb(OH)2 c) nitrat de plata AgNO3 explicación si puede ser graciassss

    necesito ayudaaaaa



    replythumb_up0 voto/sflag
    icon

    Ángel
    el 1/6/17

    Esta pregunta la tienes que poner en el foro de química.

    Un saludo

    thumb_up0 voto/sflag