Foro de preguntas y respuestas de Matemáticas

logo beUnicoos
Los foros de unicoos se han unificado en nuestra nueva plataforma beUnicoos. Para dejar nuevas preguntas deberás hacerlo allí, donde además podrás encontrar nuevas asignaturas y herramientas para ayudarte más con tus estudios.

  • icon

    luz hm
    el 2/6/17

    hola me podrian ayudar con esto:

    cos a + tg a= cotg a + sec a

    cos a* tg a

     muchas gracias

    replythumb_up0 voto/sflag
    icon

    Axel Morales Piñón.
    el 2/6/17

    Enunciado original Luy hm.

    thumb_up1 voto/sflag
  • icon

    Santiago Pérez
    el 2/6/17

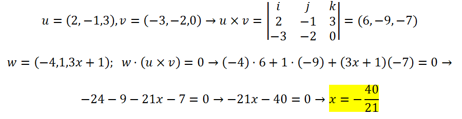
    Dados los vectores u=(2,-1,3); v=(-3,-2,0) ; W=(-4,1,3x+1)

    Hallar, si existen, valores de x para que w.(u x v)=0

    hice todas las operaciones, sacando producto vectorial entre u y v y despues es resultado lo multiplique por w y me dio un vector 

    (-24,-9,-21x-7)=0

    y lo iguale a 0 pero nose como seguir, si podrian ayudarme, y verificar si lo que hice esta bien?.

    Gracias.

    replythumb_up0 voto/sflag
    icon

    Antonius Benedictus
    el 2/6/17


    thumb_up0 voto/sflag
  • icon

    Matias Bajac
    el 2/6/17

    como hago para que el e quede en el denominador

    replythumb_up0 voto/sflag
    icon

    Sarqui
    el 2/6/17


    thumb_up0 voto/sflag
  • icon

    Sánchez Miranda Antonio
    el 2/6/17

    Alguien me puede resolver esta duda:Razona que la ecuación 2ex + x5 =0 tiene una solución real. Razona que, de hecho, dicha solución es única. Muchas gracias. 

    replythumb_up0 voto/sflag
    icon

    Antonius Benedictus
    el 2/6/17


    thumb_up1 voto/sflag
  • icon

    Carlos Ojeda
    el 1/6/17
    flag

    Hola, profesor Antonio, ¿cómo sumo estas dos funciones trigonométricas?



    Gracias

    replythumb_up0 voto/sflag
    icon

    Antonius Benedictus
    el 2/6/17

    Carlos, pon foto del enunciado original en su contexto, por favor.

    thumb_up0 voto/sflag
  • icon

    Jose Sanchez
    el 1/6/17

    Hola! Necesito ayuda con este ejercicio de Matrices muchas gracias 

    replythumb_up0 voto/sflag
    icon

    Antonius Benedictus
    el 2/6/17


    thumb_up1 voto/sflag
  • icon

    fernando
    el 1/6/17

    Un tren transporta 560 viajeros que realizan el mismo trayecto. La recaudación del importe de sus

    billetes asciende a 39.600 €. Calcula cuántos viajeros han pagado el importe total del billete (90 €),

    cuántos se han beneficiado de un descuento del 50% y cuántos han pagado el 60% del precio del

    billete, sabiendo que el número de viajeros que ha pagado el billete completo es el triple del que ha

    pagado el 60% del mismo.

    replythumb_up0 voto/sflag
    icon

    Antonio
    el 1/6/17

    Sean x los viajeros que han pagado el importe total del billete (90 €), y los se han beneficiado de un descuento del 50% (= 45€) y z los que han pagado el 60%(=54€) del precio del billete

    Tenemos por tanto que:

    x + y + z = 560

    90x+45y+54z=39 600

    x=3z

    thumb_up0 voto/sflag
    icon

    fernando
    el 1/6/17

    no entiendo muy bien, el ejercicio esta a medias? 

    thumb_up0 voto/sflag
    icon

    Antonio
    el 1/6/17

    Si

    lo que hice fue plantearlo

    ahora tienes tres ecuaciones con tres incógnitas:

    x + y + z = 560

    90x+45y+54z=39 600

    x=3z


    ¿Sabes resolverlo? Hay varias formas de hacerlo: Gauss, Cramer, etc


    thumb_up0 voto/sflag
    icon

    fernando
    el 1/6/17

    La verdad que no, lo que me dices no me suena nada, en el libro en que parte puede estar en la de polinomios o ecuaciones?  Es que  no me suena haber visto eso nunca la verdad. 

    http://es.tinypic.com/r/aca64k/9

    en la imagen que puse, que se


    thumb_up0 voto/sflag
    icon

    fernando
    el 1/6/17

    Ah vale, buscando por el libro me salte 1 parte y es la de Gauss, solo tengo que estudiar esa forma.

    Si me pusieras esa de ejemplo me ayudaria mucho.

    thumb_up0 voto/sflag
    icon

    Antonio
    el 1/6/17

    Entonces continuamos:

    x + y + z = 560

    90x+45y+54z=39 600

    x=3z


    sustituyendo x por 3z obtenemos:

    3z + y + z = 560 => y + 4z = 560

    90·3z+45y+54z=39 600 => 45y +324z = 39 600


    Tenemos por tanto que:

    y + 4z = 560

    45y +324z = 39 600

    ahora tienes dos ecuaciones con dos incógnitas: ¿Sabes resolverlo? Hay varias formas de hacerlo: Sustitución, reducción, igualación. 


    thumb_up0 voto/sflag
    icon

    Antonio
    el 1/6/17

    La solución es 300, 160 y 100 viajeros respectivamente

    thumb_up0 voto/sflag
    icon

    fernando
    el 1/6/17

    sí gracias, voy a mirarlo   y lo hago, la única duda que tengo es cómo se que tengo que hacer sustitucion,reduccion o igualacion? Haga lo que haga siempre me darán en las 3 el mismo resultado?


    Estuve haciendo sistemas pero ya me decia de la forma que tenia que hacerlas, pero sin  que me lo diga no sé muy bien como detectarlo, si tienes algún consejo .


    thumb_up0 voto/sflag
    icon

    Antonio
    el 1/6/17

    los métodos de sustitución, reducción e igualación son tres caminos para llegar a la misma solución,

    debes elegir el más fácil o uno cualquiera de ellos, da lo mismo.

    La gente suele elegir el de reducción.

    intenta hacer éste o cualquier otro sistema por los tres métodos, te tiene que dar el mismo resultado y así practicas.

    thumb_up0 voto/sflag
  • icon

    leo
    el 1/6/17

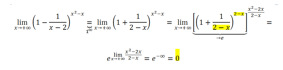
    Hola unicoos, buenas tardes tengo que resolver este límite por el método de cambio de variable, me podrían dar una mano.

    Desde ya muchas gracias

































































    replythumb_up0 voto/sflag
    icon

    Antonius Benedictus
    el 1/6/17


    thumb_up1 voto/sflag
  • icon

    Jon Aginaga
    el 1/6/17

    ¡Buenas! ¿Cuál sería la manera para plantear este ejercicio? Quiero decir, el dibujo y cómo debería nombrar cada cosa. Muchas gracias.

    Se divide un segmento de longitud 200 cm en dos trozos. Con uno de los trozos se forma un cuadrado y con el otro un rectángulo en el que la base es el doble de la altura. Calcula la longitud de cada uno de los trozos con la condición que la suma de las áreas del cuadrado y del rectángulo sea mínima. 

    replythumb_up0 voto/sflag
    icon

    Antonius Benedictus
    el 1/6/17


    thumb_up0 voto/sflag
  • icon

    Lourdes
    el 1/6/17


    ¿Cómo puedo resolver ese límite? Muchas gracias

    replythumb_up0 voto/sflag
    icon

    Antonius Benedictus
    el 1/6/17

    Pon foto del enunciado original, Lourdes.

    thumb_up0 voto/sflag