Buenos dias me podéis ayudar en este problema de máximos y mínimos me quedé atascado llegó hasta la primera derivada

Observa que tienes el dominio de la función: D = (0,+∞), y observa que puedes distribuir el denominador entre todos los términos de la expresión de la función, simplificas en cada uno de ellos y queda:
C(s) = 0,02s + 0,6 + 8/s, luego su derivada primera queda:
C ' (s) = 0,02 - 8/s2,
luego plantea la condición de punto crítico (posible máximo o posible mínimo):
C ' (s) = 0, sustituimos y queda:
0,02 - 8/s2 = 0, hacemos pasaje de término y queda:
0,02 = 8/s2, hacemos pasaje de divisor como factor y queda:
0,02s2 = 8, hacemos pasaje de factor como divisor y queda:
s2 = 400, hacemos pasaje de potencia como raíz y tenemos dos opciones:
a) s = - 20, que no pertenece al dominio de la función;
b) s = 20, que si pertenece al dominio de la función.
Luego evaluamos:
C(19) = 0,02*19 + 0,6 + 8/19 ≅ 0,38 + 0,6 + 0,421 = 1,401,
C(20) = 0,02*20 + 0,6 + 8/20 = 0,4 + 0,6 + 0,4 = 1,4,
C(21) = 0,02*21 + 0,6 + 8/21 ≅ 0,42 + 0,6 + 9,381 = 1,401;
luego, observa que el valor de la función para el punto crítico es menor que los dos valores testigos, por lo que podemos concluir que la función presenta un mínimo para x = 20, y que el costo mínimo es: C(20) = 1,40 millones de euros.
Espero haberte ayudado.
Buenos dias podriais ayudarme para el examen del lunes ? Gracias
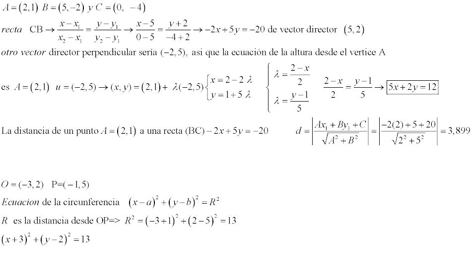
2o En el triangulo A(2,1) B(5,-2) y C(0, -4)
a) hallar la ecuación de la altura de vértice A
b) hallar la longitud de la altura del vértice A
3o a)Hallar la ecuación de una circunferencia de centro O(-3, 2 ) y que pase por el punto P(-1, 5)
b) Hallar los puntos de intersección de dicha circunferencia con la recta
y=2x-3

a) Observa que la recta que contiene a la altura (H) pasa por el punto A(2,1) y es perpendicular a la recta que pasa por los puntos B y C, cuya pendiente es:
mBC = (-4+2)/(0-5) = -2/(-5) = 2/5;
luego, por la condición de perpendicularidad entre rectas, tenemos que la pendiente de la recta H queda:
mH = -1/mBC = -1/(2/5) = - 5/2,
luego, con las coordenadas del punto A y la pendiente de la recta H, tenemos la ecuación:
y - 1 = (-5/2)(x - 2), distribuimos en el segundo miembro y queda:
y - 1 = (-5/2)x + 5, hacemos pasaje de término y queda:
y = (-5/2)x + 6, que es la ecuación cartesiana explícita de la recta H.
b) Planteamos la ecuación de la recta que pasa por los puntos B y C (R), de la que tenemos su pendiente:
y + 2 = (2/5)(x - 5), distribuimos en el segundo miembro y queda:
y + 2 = (2/5)x - 2, hacemos pasaje de término y queda:
y = (2/5)x - 4, que es la ecuación de la recta R;
luego planteamos la intersección entre la recta H y la recta R, y queda el sistema de ecuaciones:
y = (-5/2)x + 6
y = (2/5)x - 4
igualamos y queda la ecuación:
(-5/2)x + 6 = (2/5)x - 4, multiplicamos por 10 en todos los términos de la ecuación y queda:
- 25x + 30 = 4x - 40, hacemos pasajes de términos y queda:
- 25x - 4x = - 30 - 40, reducimos términos semejantes y queda:
- 29x = - 70, hacemos pasaje de factor como divisor y queda: x = 70/29;
luego reemplazamos en una de las ecuaciones del sistema, por ejemplo la segunda, y queda:
y = (2/5)(70/29) - 4 = 28/29 - 4 = - 88/29;
por lo que tenemos que la recta H y la recta R se cortan en el punto de coordenadas: E(70/29,-88/29);
luego, la longitud de la altura (h) es igual a la distancia entre el vértice A(2,1) y el punto E, por lo que planteamos:
h = √(70/29 - 2)2 + (-88/29 - 1)2) = √( (12/29)2 + (146/29)2 ) = √(144/841 + 21316/641) =
= √(21460/841) = √(21460)/29 ≅ 5,041.
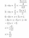
Hola Unicoos. No me sale la siguiente inecuación. 3-4x+ (x/2) < ((5x+1)/4)/0,5

Si operas cada lado te queda (6-7x)/2 < (10x +2)/4
Pasas la parte de la izquierda restando y haces resta de fracciones.
Simplificas y te queda (-24x +14)/4 < 0.
Sacas la raíz de la x igualando la parte de la izquierda a 0 y despejando la x y te da 7/12.
Y usando el método del cementerio queda (7/12, +∞)
log4+2*log(x-3)=logx me cuesta encontrar la solucion de este logaritmo. gracias.

Hola, para resolver esta ecuación logarítmica hay que aplicar algunas de las propiedades de los logaritmos.
log4+2*log(x-3)=logx
log4+log(x-3)2=logx
log(4*(x-3)2)=logx
entonces lo llevas a exponencial
10log x=4*(x-3)^2
x=4(x2-6x+9)
x=4x2-24x+36
4x2-25x+36=0
y ahora aplicas formula general
donde a=4, b=-25, c=36
y cuando resuelves la formula general te quedan dos resultados
x1=4 y x2= 9/4
puedes comprobar los resultados en tu ecuación.
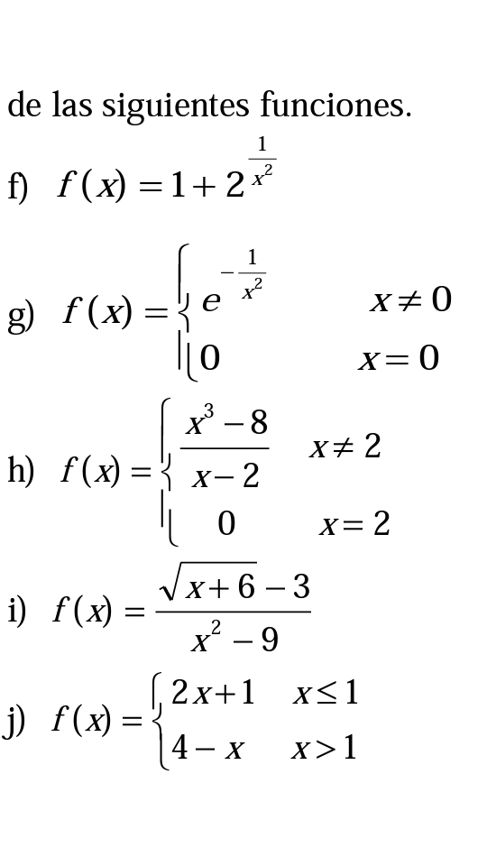
Hola! Quería saber si el dominio de la funcion g) es R o como debería hacer exactamente para hallar el dominio de esa función. Conozco el procedimiento, busqué los dominios de cada trozo de la función, y representé en la recta las partes para las que estaba definido cada trozo y los valores que se excluian de sus dominios siempre teniendo en cuenta que esos valores estén o no dentro del "area de influencia" de cada función.
Hice todo eso y me dio R, y es la primera vez que busco el dominio de una función de este tipo, es decir, con x distinta de algun valor e igual al mismo valor por otro lado, siempre lo hice con las que tienen x < o > a algún valor, por eso no estoy segura.
Puede ser que el dominio de el primer trozo es R-{0}, pero como la función no está definida para x=0, y el dominio de la parte constante sería R, entonces el dominio de f(x) es R. Esa fue mi conclusión, pero otra vez, nose si estará bien.
Para la función h) el procedimiento sería el mismo, no?
Gracias!

El dominio de la función del ejercicio g) es R.
Observa que es una función partida, que toma el valor 0 para x = 0 (como indica la segunda línea en la expresión), y observa que la expresión de la primera línea no se indetermina para valores de x que sean distintos de cero.
Espero haber aclarado tu duda.
hola, necesito ayuda con estos dos logaritmos: 1) log4+2*log(x-3)=logx
2) log4 (x-1) + log4 (x+2)=1.
gracias.
log4 [(x-1)(x+2)]=1 -----------------> log4 [(x-1)(x+2)]=log44
Hemos pasado el número 1 a log en base 4 para posteriormente eliminar los logaritmos en el paso siguiente eliminar los logaritmos y operar más fácilmente
Utilizando la propiedad logaa=1, tenemos que, si queremos pasarlo a log en base 4, nos quedará 1= log44
Hola Unicoos.
Para representar ecuaciones de la recta con parámetro t, se le dan valores a la x, pero como lo hago? Tengo que despejar la t? ![]()
Muchas gracias

Puedes construir una tabla de valores con tres columnas, t - x - y:
observa que tienes para t = 0:
x = 2 + 5*0 = 2, e y = - 1 - 2*0 = -1;
y para t = 1 tienes:
x = 2 + 5*1 = 7, e y = - 1 - 2*1 = - 3;
luego la tabla queda:
t x y
0 2 -1 de aquí tienes el punto de coordenadas (2,-1) que pertenece a la recta
1 7 -3 de aquí tienes el punto de coordenadas (7,-3) que pertenece a la recta.
Espero haberte ayudado.