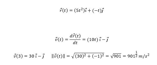
Hola. Os mando una pregunta tipo test que el solucionario indica que la respuesta correcta es la b). Lo he hecho de mil maneras distintas y no hay forma. Por más que despejo t, y así hallo x e y; una vez que calculo el módulo me sale otro resultado. Ya no sé qué hacer. He aquí:
"Dadas las coordenadas de un móvil en el Sistema Internacional x=5t²−1 e y=−t, el módulo de la velocidad del móvil en el instante t=3 es:
A) 1945 1∕2 ms-1
B) 901 1∕2 ms-1
C) 41 1∕2 ms-1
D) 29 1∕2 ms-1
No me salen los caracteres exactos. Lo que quiere decir es, por ejemplo 1945 elevado a 1/2 m/s a la -1, y así todos: 901 elevado a 1/2 m/s a la -1, y así todo.
Gracias.
Un cordial saludo.
es un ejercicio de esfuerzo transversal y tengo una duda de como sacar el Q, espero me puedan ayudar con el procedimiento, gracias
Un gas de masa molar 33 kg/kmol ocupa un volumen de 0,1 m^3 en un
dispositivo cilindro-émbolo a 3 bar y 360 K. Un aporte de calor da lugar
a que el gas se expanda hasta 0,2 m^3 siguiendo un camino dado por
PV^(1.3)=constante. Si Cv= 0,60 + (2,5x10^-4) T, con el Cv en kJ/kg*K Y T° en
kelvin. determínese calor suministrado, en kilojulios. Me podeis ayudar con esto, no se por donde empezar
Hola,Di un laboratorio de electrización por frotamiento trabajamos con diferentes barras entre ella una de aluminio que frotamos con cuerina y pasamos sobre pequeños papelitos y bolitas de icopor después frotamos con piel de conejo pasamos sobre lo antes mencionado pero estos no se atrajeron.
Busco y encuentro que el aluminio tiene propiedades eléctricas
ayuda porfa que no entiendo nada , necesito dibujar este espejo concavo, que alguien me explique como se hace porfavor!!!!

Hola Jenni, eso que señalas es el sistema de ecuaciones para poder hallar las incógnitas. La manera en que lo ha hecho Francisco, y en general como se tiene que hacer es viendo que a(2,3) + b(1,5) es una suma de vectores cada uno con sus coordenadas i y j (lo que equivale a x e y en el eje de coordenadas). Luego esa suma de cada coordenada nos da el resultado (-1, -2), de manera que el -1 es el resultado de sumar 2a+b (lo que sería la suma de la coordenada x) y el -2 es el resultado de sumar 3a+5b.
Para tener todo esto más claro, si es que tienes mucha duda, deberías ver el vídeo: FISICA Suma de fuerzas y descomposicion vectorial 02
Saludos.
AYUDAAA
hice el procedimiento pero no me da la respuesta de ninguno de los literales que estan ahi
en que me he equicado? :(
me podrian revisar si estan bien esos dos ejercicios y en el segundo no se si asi es o me he equivocado :l

ale, el primero está correcto.
En cuanto al segundo, Ale, el ángulo que forma el vector con el eje x y el eje y es de 45º, ya que la coordenada x y la y son iguales en todos los casos, y por eso su tangente vale 1 que se corresponde con ese ángulo, por lo tanto la respuesta correcta es la b. Un saludo.