No comprendo la aplicación de la segunda fórmula. Alguien sabría explicármela porfa, gracias!!!!
Dos barras uniformes de masas m1 y m2 (m2= 2m1) están rígidamente unidas formando un ángulo α de 60º. El sistema se suspende de un hilo unido al extremo de la barra de menor longitud. Para que el sistema quede en equilibrio estático con la barra L2 en posición horizontal, la relación entre sus longitudes ha de ser:
Alguien sabría desarrollarme este ejercicio?
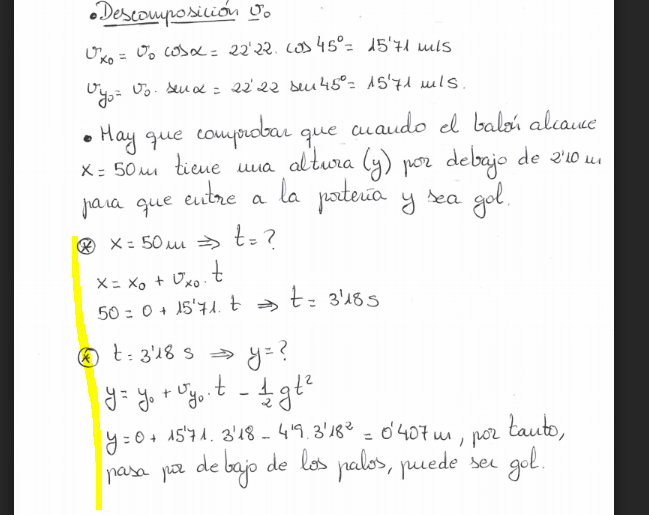
Teniendo en cuenta que 50 m es el alcance, y ahora estoy intentando saber la posición del balón, uso la fórmula de MRU, pero no sé cuándo tengo que sustutiuir en x0 o en X el alcance...
gracias

Hola Yasmin,
se trata de que calcules dos cosas: 1º- si el balón llega antes a la portería, o es el portero el que llega antes. Suponiendo t0=0 has de calcuar el tiempo que tarda el balon en recorrer 50m y el tiempo que tarda el portero en recorrer 7
Y después, si el balón llegara antes que el portero, has de comprobar que a 50m, la altura sea inferior a 2,10 m. Si llega antes, y por debajo del larguero, será gol. Sino no.
Buenas alguien me puede echar una mano que no me aclaro con este problema?
Gracias.
Una partícula con carga q se mueve con una velocidad ~ v = (vx, vy, vz) dentro de un campo eléctrico E ~ = (Ex, Ey, Ez) y un campo magnético B ~ = (Bx, By, Bz).
(las ~ representan vectores).
(a) Determine la fuerza de Lorentz que actúa sobre la partícula (expresión general en coordenadas cartesianas).
b)Para cada una de las siguientes situaciones, dibuje las direcciones de ~ v, E ~, B ~, F ~ E y F ~ B. Determine la fuerza resultante y use la expresión general de (a) como doble verificación.
(i) q = +e ; ~v = (1, 0, 0) ; E~ = (0, −1, 0) ; B~ = (0, 0, 1)
(ii) q = −e ; ~v = (0, 1, 0) ; E~ = (0, 0, 1) ; B~ = (1, 0, 0)
(iii) q = +e ; ~v = (0, 0, 1) ; E~ = (1, 1, 0) ; B~ = (0, 1, 0)

a) La expresión general de la fuerza de Lorentz en un campo electromagnético es:
F=q(E+vxB)
Lo único interesante es resolver el producto vectorial que te dejo a ti, pero básicamente será:
i j k
vxB= vx vy vz
Bx By Bz
b) Se trata de sustituir los datos y realizar los dibujos según las direcciones vectoriales que obtienes