necesito ayuda con estos ejercicios por favor soy nuevo en la materia

en el método de los discos para calcular área de revolución, es siempre el radio la función que me da el ejercicio?
Necesito por favor ayuda con el apartado d). Intenté hacerlo y según mi opinión no tiene puntos criticos. Me gustaria una otra opinion. Gracias. ![]()

Debes considerar que el punto de corte es un punto crítico.
Luego, el primer trozo no presenta puntos críticos, ya que su derivada es estrictamente positiva.
Y el segundo si presenta un punto crítico: la expresión de la derivada es f ' (x) = -lnx - 1, y si igualamo a cero y despejamos tenemos:
lnx = -1, componemos con la función inversa del logaritmo natural y tenemos:
x = e^-1 que es un punto crítico.
Luego puedes continuar, estudiando los subintervalos (-inf,0), (0, e^(-1)), (e^(-1),+inf).
Espero haberte ayudado.
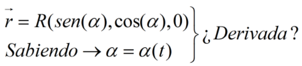
Buenas tardes, ¿me podrían explicar como puedo realizar esta derivada? No la he trabajado nunca durante el Bachiller. Es una función que se tiene que derivar respecto un elemento que depende de otro elemento, no se si me he explicado bien.
Les adjunto una imagen.