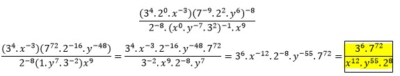
Buenas. ¿Cuál es la diferencia entre una matriz y un determinante? No consigo entender bien qué es cada cosa. Como siempre, muchas gracias.

Una matriz mxn es un vector de m·n coordenadas colocadas en m filas y n columnas. Esto es , una matriz es multidimensional.
El determinante de una matriz CUADRADA es un número real (un escalar) asociado a dicha matriz, con un significado asociado a la resolución de un sistema.
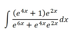
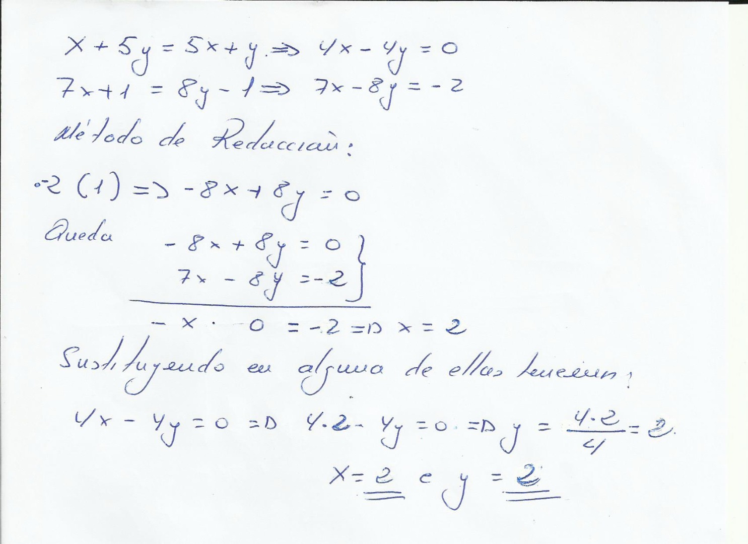
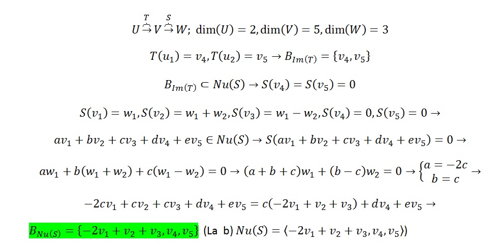
Muy buenas, alguien podría ayudarme con esta pregunta de ecuaciones.... muchas gracias de antemano =)
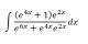
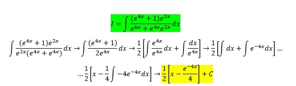
Buenas, me podrian ayudar con este ejercicio? solo necesito una guia para tener idea de como afrontarlo, gracias..