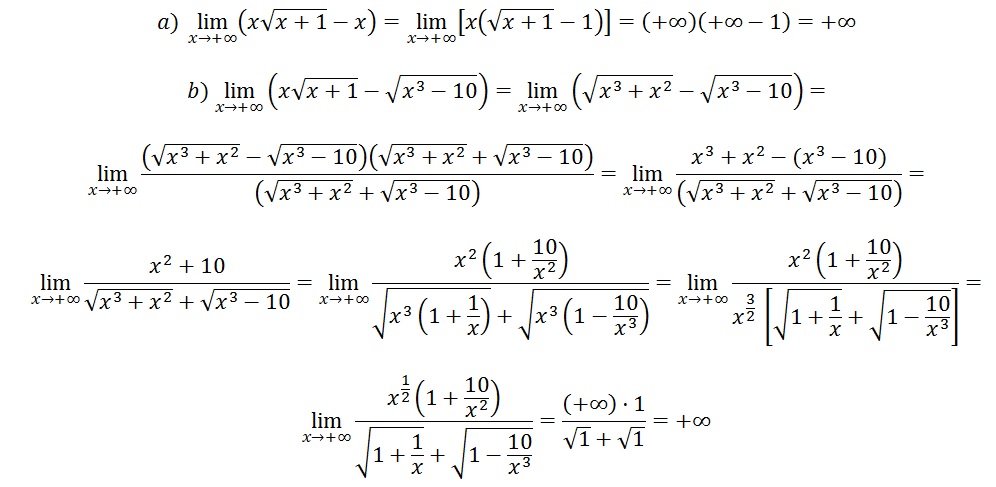
Hola a todos, alguien me ayuda con estos limites?? El primero no se si lo tengo bien resuelto y en el segundo...me he atascado...gracias de antemano
Hola unicoos por favor ayuda con este ejercicio me falta el paso intermedio para llegar a la solución particular.

Observa que has cometido un error al separar variables:
el integrando para y tiene denominador V(1+ y^2)., y esta integral la puedes resolver con la sustituicón (cambio de variable) w = y^2 + 1, de la que tenemos dw = 2y*dy, de donde tenemos que (1/2)*dw = y*dy, ahora sustituyes y la integral para y queda:
(1/2)*Integral (1/V(w) * dw) = V(w) + C = V(1 + y^2) + C.
La integral para x la has resuelto correctamente, por lo que la solución general implícita queda:
V(1 + y^2) = (3/2) * x^2 + C.
Ahora a partir de la condición inicial, reemplazamos 1 para x y V(8) para y, y queda:
3 = 3/2 + C, de donde obtenemos: C = 3/2.
Por lo tanto, la solución particular implícita queda:
V(1 + y^2) = (3/2) * x^2 + 3/2, que también puede expresarse:
V(1 + y^2) = (3/2) *(x^2 + 1)
Para obtener la solución particular explícita, elevamos al cuadrado en ambos miembros (observa que a la derecha de la igualdad puedes distribuir) y queda:
1 + y^2 = (9/4) * (x^2 + 1)^2.
Luego hacemos un pasaje de término y queda:
y^2 = (9/4) * (x^2 + 1)^2 - 1
Y por último hacemos pasaje de potencia como raíz, y de acuerdo con la condición inicial elegiremos la raíz cuadrada positiva ya que y>0:
y = +V((9/4) * (x^2 + 1)^2 - 1)
Espero haberte ayudado.
Hola unicoos, estoy repasando ejercicios de vectores con soluciones y en este tengo una duda, no sé porque a la z le pone el valor 0 y 1.

Debes tener muy en cuenta que la intersección de los dos planos que se corresponden al sistema de dos ecuaciones inicial, es una recta, que a su vez es un conjunto de infinitos puntos.
Observa que con dos ecuaciones se ha podido despejar x y también y, pero no se pudo despejar z, por lo que z puede tomar cualquier valor real (z ha qudado "libre").
Y para identificar dos puntos de la recta, simplemente se eligen dos valores para z, y en este caso han elegido z = 0, y z = 1 (observa que podrían haber elegido cualquier otro par de números reales). Con ellos obtienen dos puntos de la recta, y a partir de ellos obtienen finalmente las componentes del vector director de la recta.
Espero haberte ayudado.

Una recta en el espacio viene expresada como intersección de dos planos; algebraicamente, una recta viene dada como un sistema lineal de dos ecuaciones y tres incógnitas, compatible indeterminado con un grado de libertad (una incógnita libre). Si ésta resulta ser "z", para obtener puntos de la recta, asignas a z distintos valores, resolviendo después el sistema en las incógnitas x,y.
Hola unicoos, pueden de favor enviarme algunas imagenes resueltas de integrales resueltas en donde el proceso seaaa largo, integrales dificiles. Gracias.

Integral TRIGONOMÉTRICA con cambio de variable TANGENTE 02
Integral de secx (SECANTE)
y hay mas en el canal de youtube. busca bien. te van a servir
Aquí la he pintado, la normal y el valor absoluto. He pintado f(x) en negra en rojo valor absoluto de f(x), pero no sé pintar f de valor absoluto de x. La pregunta esta abajo. No tengo ni idea de lo que me preguntan. Necesito ayuda.

Observa que si x es positivo, tienes que |x|=x, pero si x es negativo, tienes que |x|= -x. Entonces:
si x es positivo: f(|x|) = f(x) y la gráfica se mantiene para x>=0,
pero si x es negativo: f(|x|) = f(-x) (observa que -x es positivo), por lo tanto la gráfica toma los el valor de su opuesto, lo equivale a decir que la parte de la gráfica que se encuentra a la derecha del eje x se refleja con respecto al eje y, y debes trazar a al izquierda de dicho eje una gráfica simétrica (recuerda las funciones pares, para las que se cumple que f(x) = f(-x).
Espero haberte ayudado.
hola, me podéis ayudar?. Sé que la de valor absoluto se hace pasando lo que este debajo del eje y al eje x. Pasando lo negativo a positivo, pero y la otra como se hace?. No tengo ni idea. Gracias.
Hola, ¿podéis ayudarme con el siguiente ejercicio de números complejos?
Si z es un número complejo, resuelve en C la ecuación: z²+8=0

Primero hacemos pasaje de término y queda:
z^2 = -8
Luego, si representamos gráficamente al número compejo real -8, verás que se corresponde con el punto de coordenadas (-8,0), que se encuentra en el semieje x (real) negativo, a una distancia de 8 unidades del origen, por lo que su módulo es igual a 8, y su argumento, medido desde el semieje positivo x es 180° (o pi radianes).
Ahora, si escribimos en forma polar (módulo y argumento), la ecuación queda:
z^2 = [8](180°)
Luego hacemos pasaje de potencia como raíz y queda:
z = V([8](180°))
Luego, a partir de la fórmula de De Moivre para las raíces tenemos que:
z = [V(8)]((180° + k*360°)/2), con k = 0 o k = 1.
Por lo tanto, las dos soluciones quedan:
para k = 0:
z = [V(8)](90°)
para k = 1:
z = [V(8)](270°)
Las dos quedan expresadas en forma polar, y puedes luego expresarlas en forma trigonométrica o binómica, u otra que te pidan con las fórmulas de pasaje que seguramente has visto en clase.
Espero haberte ayudado.