Hola,
no he encontrado videos para resolver un sistema de tres ecuaciones de tres incognitas. Os adjunto lo que me ha salido pero agradecería me lo corrigieran.
Un saludo
Hola, me pueden ayudar con esta por favor
Sean las matrices A ∈ M m×p y B ∈ M p×n
Demostrar que : (A × B) ^ t = (B ^ t) × (A ^ t)
(t: transpuesta)
Hola, necesito ayuda con este ejercicio. Tengo que graficar esta función pero no se si mis puntos de cortes esten bien o si la derivada la saque bien y al evaluar los puntos criticos me enrede... Si me pueden dar una idea de como seria la grafica seria genial.
Hola, tengo una duda sobre extremos (máximos y mínimos) de una función. En que puntos hay que comprobar si hay máximos o mínimos? Sé que eran los puntos donde ƒ′=0, pero no se cuales más son...

Javicci: Los máximos y Mínimos de una función se calculan para los puntos que hacen cero la primera derivada. Así pues hay que ver si son máximos y mínimos todos los puntos te salgan para los cuales f'(x) = 0.
Para ver sí son Máximos o mínimos se sustituyen dichos puntos en la segunda derivada y: si f''(ptos) es menor que cero es máximo y viceversa. Un Saludo.

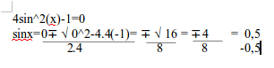
A ver Ángela;
360º = 2π radianes. Así tenemos:
Por otro lado tenemos que el sen x= 0.5→x= arcsen 0.5= 30º x(rad)=2π·30/360=1/6π
Por otro lado tenemos que el sen x = -0.5→x= arcosen -0.5= 210 x((rad)=2π·210/360=7/12π y también de 330º que es en (rad) =2π·330/360=11/12π,
Un saludo.
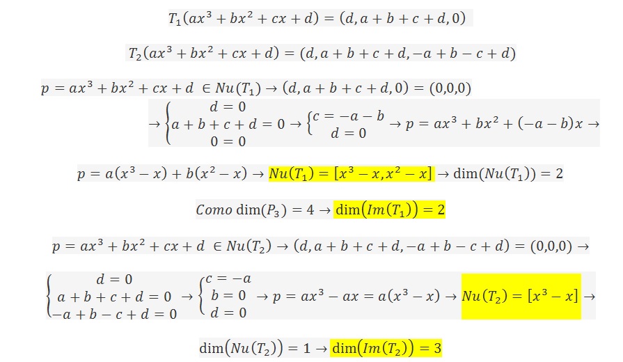
Hola me pueden ayudar a demostrar el siguiente ejercicio :
Si la matriz ABC es no singular y si A, B, C conmutan dos a dos
Demostrar que Adj(ABC) = Adj(A) × Adj(B) × Adj(C)
Espero que me ayuden , Gracias :)
Hola,
yo resolvi un sistema de ecuaciones de dos incognitas como se ve en la foto, pero me han dicho que se resuelve asi:
" xy-y=0 con lo que y(x-1)=0 y esto da lugar a y=0 o y=1"
Esto anterior ¿por que no se puede resolver asi: y= 0/(x-1)? ¿o también (x-1)=0/y ?
Pero no entiendo la lógica de ninguna manera... ni porque el mio está mal. 12y/12y =1 ¿no?
espero me ayuden, gracias
Esto anterior ¿por que no se puede resolver asi: y= 0/(x-1)? ¿o también (x-1)=0/y ?
Pero no entiendo la lógica de ninguna manera... ni porque el mio está mal. 12y/12y =1 ¿no?
espero me ayuden, gracias">![]()