Foro de preguntas y respuestas de Matemáticas

logo beUnicoos
Los foros de unicoos se han unificado en nuestra nueva plataforma beUnicoos. Para dejar nuevas preguntas deberás hacerlo allí, donde además podrás encontrar nuevas asignaturas y herramientas para ayudarte más con tus estudios.

  • icon

    Gabriel
    el 5/7/16

    Buenas noches. Tengo un problema con este limite 3-3cosx/5xtgx (tres menos 3 por coseno de equis sobre cinco equis por tangente de equis)
    El resultado es 3/10, pero no consigo llegar.Me da resultado 0.Probe de muchasd maneras pero no llego a 3/10. El que me hace cero el resultado, es el limite de seno/tang creo, desarrollando siempre me queda ese sen/tang que me anula todo.

    replythumb_up0 voto/sflag
    icon

    Antonius Benedictus
    el 5/7/16

    Te ayudamos, Matías:

    thumb_up2 voto/sflag
    icon

    Gabriel
    el 6/7/16

    gracias amigo

    thumb_up0 voto/sflag
  • icon

    Milagros Lerzundi
    el 5/7/16
    flag

    Hola, unicoos. Estuve viendo varios vídeos sobre hipérbolas, cómo hallar sus ecuaciones y cómo graficarlas, pero me gustaría saber si tienen algún vídeo que me ayude con las demostraciones. Tengo esta demostración y les agradecería mucho que me puedan ayudar. Muchas gracias de antemano.

    replythumb_up0 voto/sflag
    icon

    David
    el 7/7/16

    Lo siento, de corazón, pero no puedo ayudaros con demostraciones de ese tipo. Espero entiendas que unicoos por ahora se queda en bachiller.

    thumb_up0 voto/sflag
  • icon

    Davis
    el 5/7/16

    Hola unicoos!
    He estado viendo muchos videos sobre funciones trigonométricas inversas pero no encuentro uno especifico con este tipo y quería saber si alguno de vosotros me podeis ayudar.

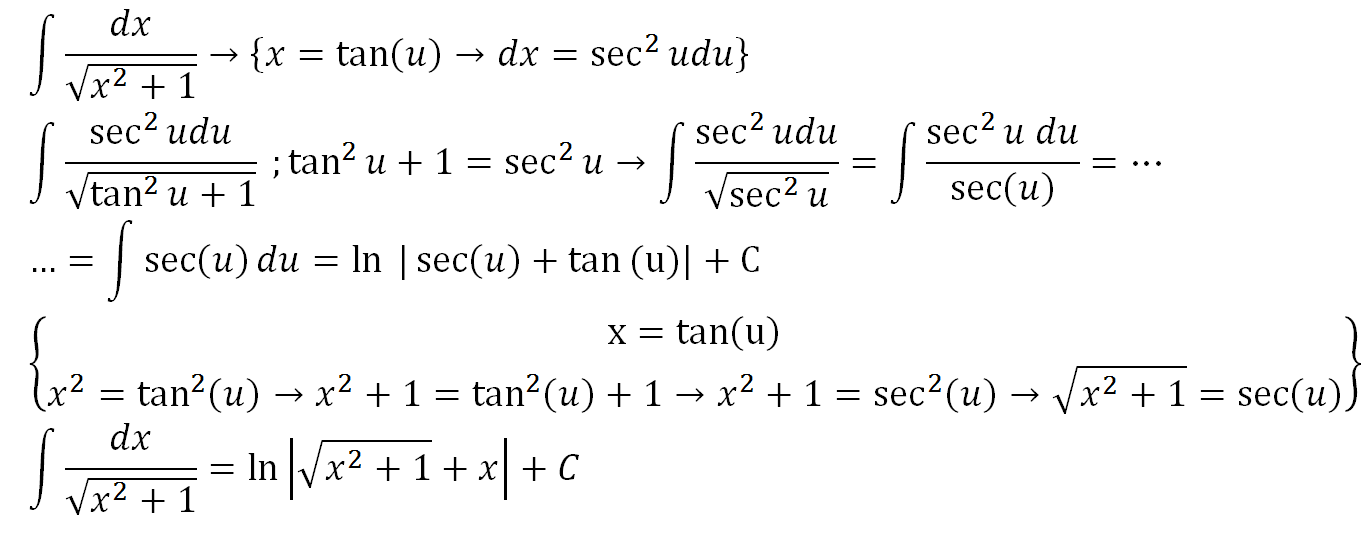
    Se trata de una integral y es la siguiente:

    integral de 1/raiz cuadrada de (x^2+1)

    De antemano muchas gracias.

    La respuesta en el libro dice senh^-1 x +c

    replythumb_up0 voto/sflag
    icon

    Hugo
    el 5/7/16

    No estoy seguro, pero creo que la respuesta es equivalente con la del libro, tendría que consultar, espero te sirva la ayuda.

    thumb_up0 voto/sflag
    icon

    Axel Morales Piñón.
    el 5/7/16

    Concuerdo con Hugo...

    thumb_up0 voto/sflag
    icon

    Antonius Benedictus
    el 5/7/16

    Es lo mismo, muchachos:

    thumb_up0 voto/sflag
  • icon

    Alberto Miñaur Garai
    el 5/7/16

    Hola Unicoos
    Teneis algún video que explique como aplicar el teorema de Rouché Frobenius
    Tengo que hacer un ejercicio de este tipo y no se como hacerlo
    Gracias!!!!!

    replythumb_up0 voto/sflag
    icon

    Mario
    el 5/7/16

    EN la parte de sisteas de ecuaciones de 2 de bachillerato.
    Un consejo, a los profees les gusta poner ejercicios con parametros para discutir sistema como en el video. Mirate esos videos que estan buenos.
    Te dejo el link:

    http://www.unicoos.com/video/matematicas/2-bachiller/sistemas-de-ecuaciones/teorema-de-rouche/discutir-un-sistema-01-rouche

    thumb_up1 voto/sflag
  • icon

    Camila Peludero Astrada
    el 5/7/16
    flag

    Hola unicoos, tengo una duda con un problema de serie de potencias, Que pasa si al calcular el limite en la prueba de la razón el limite me da cero? Como calculo el intervalo de convergencia?
    El ejercicio es ∑(ln(n)/n)(X∧n)

    replythumb_up0 voto/sflag
    icon

    Mario
    el 5/7/16

    podes probar con an+1 / an.

    si el limite es un numero menor a 1 converge, sino diverge. y de no dar eso oscila. (creo que era algo por el estilo)



    perdona si no soy de mucha ayuda. quizas se te ocurra algo a ti a partir de esto... je


    saludos

    thumb_up1 voto/sflag
    icon

    Antonius Benedictus
    el 5/7/16

    Te explicamos, Camila. Repasa la teoría:

    thumb_up1 voto/sflag
  • icon

    Alberto Miñaur Garai
    el 5/7/16

    Hola David
    Podrías confirmar que este ejercicio está bien resuelto...
    Lo he hecho después de ver tu video sobre inversa de una matriz
    Pertenece al exámen de la primera evaluación.
    Mil gracias
    Un saludo

    replythumb_up0 voto/sflag
    icon

    David
    el 7/7/16

    Te sugiero multipliques tu matriz A original, por la inversa que has obtenido.
    Estará bien si el resultado es la matriz identidad...
    (1 0 0)
    (0 1 0)
    (0 0 1)

    thumb_up1 voto/sflag
  • icon

    Facundo Meier
    el 4/7/16

    Unicoos,me han explicado el ejercicio, pero sigo sin entenderlo,
    La consigna es hallar los puntos (si existen) en los cuales la función f(x)= (4x)/ (x+1) tiene recta tangente parelela a y =1/4x+3
    Lo que he hecho como han dicho es hallar la derivada f´(X)= 4/(x+1)^2 y luego iguale x a 1/4 y despejando (-1)/(x+1)^2= 1/4 me ha quedado -1/4x-1/4
    Esta bien lo que he resuelto?

    replythumb_up0 voto/sflag
    icon

    Antonius Benedictus
    el 4/7/16

    Has de igualar la derivada f´(X)= 4/(x+1)^2 a la pendiente 1/4.
    Te van a quedar dos valores de x:
    x=3
    x=-5
    Para obtener las ordenadas: f(3) y luego f(-5)

    thumb_up0 voto/sflag
    icon

    Facundo Meier
    el 4/7/16

    Muchisimas gracias Antonio

    thumb_up0 voto/sflag
  • icon

    Alejandro Manera Olmedo
    el 4/7/16

    Buenas unicoos, quisiera sacarme una duda, me podrian ayudar
    Como resuelvo esto :

    replythumb_up0 voto/sflag
    icon

    Antonius Benedictus
    el 4/7/16

    Te ayudamos, Alejandro:

    thumb_up1 voto/sflag