Hola Unicos!!. Me pueden explicar el ejercicio 11.d) de derivadas por favor, me lo han explicado pero sigo sin entenderlo?
Hola!!No consigo resolver este problema. ¿Cuál es la superficie total de una estrella de David, si el lado del hexágono es de 1cm?
Gracias

Con un dibujo sería mucho mejor.. Para el area del hexagono... Apotema de un hexagono ´
Y los triangulos de las puntas, equilateros, confroman todos juntos otro hexagono igual, de modo que el area total será el doble del obtenido antes...
¿Existe un número real m tal que 1 + mi = m - 2i?
Creo que no existe, pues para que dos números complejos sean iguales tienen que coincidir sus partes reales y sus partes imaginarias.
¿Es correcta mi respuesta?
Buenas, tengo una duda en un ejercicio de números complejos.
Tengo que pasar a forma polar un número imaginario. Al intentar averiguar el argumento tengo que dividir entre 0; mi calculadora me da error cuando intento hacerlo ya que es un límite pero en internet esa división tiene resultado.
¿Cómo han resuelto arctan de 2/0? Adjunto el ejercicio.

El número complejo 0+2i está ubicado sobre el semieje vertical positivo. O sea, forma un ángulo recto con el semieje real positivo (respecto del cual se valoran los argumentos). Por ello, su argumento en radianes es π/2. Es normal que la calculadora te dé error, pues no existe tan(π/2) (en el límite es ∞).
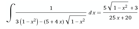
Unicoos salvenme tengo una tarea por entegrar y este es uno de los ejercicios que se me ha hecho imposible resolver, he visto hasta ahora integral por partes, me parece que se la resolvería integrando por partes, me manejo con el libro "Calculo integral y diferencial" de Granville-Smith-Longley . Estoy en integral indefinida. Esperare vuestra ayuda y desde la distancia les digo ya gracias y suerte al equipo de unicoos. Bye.
Hola maestros de uniccoos. Les pido colaboración a ustedes y al profesor Antonio García, que me muestre el camino correcto para la integral que esta ahí, me falto digitar el el +C (cte). Parece que esa es la rspuesta, xq según Wolfram alpha esa es la respuesta.
Pido que me ayuden que he tratado de verla de distintos modos, y no debo de resolvsrlos por metodos que aun no me enseñan, no debo de aplicar fracciones simples, ayudenme xq no concluyo esto.
Gracias de antemano.
Saludos al equipo unicos
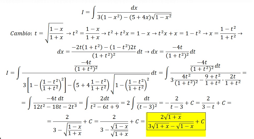
Me gustaría que me expliquen la resolución de la integral de la imagen si no es molestía
En la imagen no se notan bien los exponentes, pero todos son de exponente 2.
Le doy gracias desde ya al colaborador
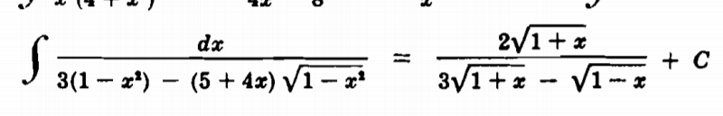
Hola buen día amigoa de unicoos, me podrian ayudar resolviendo la siguiente integral sin aplicar el cambio trigonométrico universal, por favor se los pido como petición, unicoos se aproxima el día del examen y deseo dar lo mejor.
Gracias de antemano. Saludos.