Foro de preguntas y respuestas de Matemáticas

logo beUnicoos
Los foros de unicoos se han unificado en nuestra nueva plataforma beUnicoos. Para dejar nuevas preguntas deberás hacerlo allí, donde además podrás encontrar nuevas asignaturas y herramientas para ayudarte más con tus estudios.

  • icon

    elver flores
    el 6/7/16
    flag

    Buenas Noches, me podrían ayudar en el ejercicio para encontrar la determinante de la imagen adjunta

    replythumb_up0 voto/sflag
    icon

    Luis Cano
    el 6/7/16

    Que has intentado? El seno y el coseno de los valores ahi mencionados son conocidos. La suma es un valor finito, ahora solo te queda resolver el determinante que es bastante largo...

    thumb_up0 voto/sflag
  • icon

    Sandy Murillo S...
    el 6/7/16

    Hola unicoos. Les pido ayuda con la integral de la imagen, no se co o resolverla sin usar una fórmula de reducción, si no aplicando las identidades o casos posibles, o aplicando técnicas matemáticas, xq mi calculadora resuelve la integral de la forma que no quiero, xq esa fórmula no me han enseñado aun y no me permitiran aplicarla el día del exámen. Gracias.

    replythumb_up0 voto/sflag
    icon

    Luis Cano
    el 6/7/16

    Te dejo la imagen, ya con lo que te pongo solo debes hacer el cambio de variable u=sen(x). Si tienes alguna otra duda comenta :)

    thumb_up0 voto/sflag
  • icon

    JJ Huachua Maldonado
    el 6/7/16

    un video de limites con raiz cubica

    replythumb_up0 voto/sflag
    icon

    Luis Cano
    el 6/7/16

    Creo que por el momento no hay. Pero si quieres coloca una ejemplo y tratamos de ayudarte :)

    thumb_up0 voto/sflag
  • icon

    Christian
    el 6/7/16

    Hola, hay algún video que explique algún ejercicio de estos? No encontré algo así. Gracias y perdón por las molestias.

    replythumb_up0 voto/sflag
    icon

    Luis Cano
    el 6/7/16

    Si los hay. En la parte superior derecha hay una lupa, ahí colocas palabras clave como limites, dominio, derivadas y te aparecen vídeos relacionados con lo que buscas :)

    thumb_up0 voto/sflag
    icon

    Christian
    el 6/7/16

    Como comentaba, no encontré algún ejercicio igual. =/

    thumb_up0 voto/sflag
  • icon

    KIMEUNWOOK
    el 6/7/16

    el nucleo de esta transformacion es (1,1) perocomo la c tene esa forma multiplicada por u escalar esta correcto decir que ese vector pertenece alnucleo?

    replythumb_up0 voto/sflag
    icon

    Gerardo Ruelas
    el 6/7/16

    El núcleo serían los vectores de R2 que te lleven al 0 de R3 , esto implica que:


    b-a=0


    a-b=0


    Resolviendo el sistema sería a=b. Por lo que el vector que te lleva al 0 de R3 sería la opción C), dado que 2=2 (a y b deben ser iguales).


    Lo puedes comprobar fácilmente, aplica T a (2,2) y te da (0,0,0).


    Para el 2do inciso la respuesta sería el inciso B), ya que tomando cualquier par de números el resultado solo puede ser diferente en el signo, ejemplo 5-3=2 y 3-5=-2 o 3-4=-1 y 4-3=1, solo cambian los signos del resultado no importa que números sean.


    Espero que te haya servido.


    thumb_up0 voto/sflag
  • icon

    Bruno
    el 6/7/16

    alguien me ayuda con este problema

    El cociente de dos numeros es de 19 y el resto de su divisor 537. cuales son esos numeros sabiendo que su diferencia es 12777?

    replythumb_up0 voto/sflag
    icon

    Antonius Benedictus
    el 6/7/16

    Sea x el mayor e y el menor:
    x=19y+537
    x-y=12777

    Sustituyes x en la 2ª ecuaci´pn:
    19y+537-y=12777
    Sale y=680
    Sigue....

    thumb_up0 voto/sflag
  • icon

    KIMEUNWOOK
    el 6/7/16

    la respuesta es la e cierto?

    puesto que las anteriores no arrojan el cero en el cero.
    alguien me lo corrobora?

    replythumb_up0 voto/sflag
    icon

    Antonius Benedictus
    el 6/7/16

    Solo el e)
    Los demás no cumplen que la suma de elemento de H también esté en H.

    thumb_up0 voto/sflag
  • icon

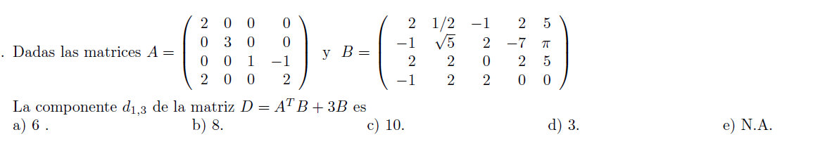
    KIMEUNWOOK
    el 6/7/16

    Alguien me podría a ayudar y explicar como se responde y se realiza esto

    replythumb_up0 voto/sflag
    icon

    Gerardo Ruelas
    el 6/7/16

    Debes realizar primero las operaciones que te indican, puesto que te pide el elemento de la matriz D.
    De ahí ya solo sería buscar el elemento d1,3 en la matriz que te resultó de las operaciones, recordando que el 1er número serían renglones y el 2do columnas.

    thumb_up0 voto/sflag
    icon

    KIMEUNWOOK
    el 6/7/16

    gracias, la realice asi antes, pero pense que depronto se podria resumir mas el ejercicio

    thumb_up0 voto/sflag
  • icon

    GABRIELA
    el 6/7/16

    Holaaa estoy viendo la deduccion de la formula de superficie de revolucion. En la parte que tengo que sacar la longitud de un diferencial de un arco es correcto lo que hice ? Porque a todos mis companeros les quedo en ves de incrementos les quedo diferencialesss eso que remarque al ultimo .Gracias chicos

    replythumb_up0 voto/sflag
    icon

    David
    el 7/7/16

    En el fondo es lo mismo ∂y/∂x que Δy/Δx

    thumb_up1 voto/sflag
  • icon

    Anahi
    el 6/7/16

    Hola me podran ayudar para ver si hice el ejercicio bien? Esta un poco desprolijo pero creo que se entiende...Gracias!

    replythumb_up0 voto/sflag
    icon

    Antonius Benedictus
    el 6/7/16

    Al final, S_2 =(27/16)/(7/16)=27/7

    thumb_up0 voto/sflag