Buenas tardes UNICOOS. Me gustaría saber cómo calcular estas raíces de unos radicales. Sé hacer una raíz de un radical, pero cuando multiplican. No sé qué hacer cuando suman o restan en el interior.
Gracias de antemano.
PD: Espero que se vea bien la imagen.

bueno, nunca use ese programa, pero lo que si podes hacer a simple vista,
es ver ese 16 dentro de una raiz, pero lo podes expresar como 4^2, pero como esta dentro de una raiz, simplificas con el cuadrado
ahora te va a quedar dentro de una raiz 5 +4, osea 9, pero 9=3^2, y como esta dentro de una raiz, lo volves a simplificar
ahora tenes una raiz con 6+3, te queda 9, pero haces lo mismo, lo expresas como 3^2, como esta dentro de una raiz simplificas el cuadrado y te queda 3
ahora llegaste a la ultima raiz de 1+3, seria raiz de 4, pero 4 lo podes expresar como 2^2, y como tenes raiz cuadrada de un numero elevado al cuadrado, se simplifica, y tenes de resultado 2
espero que puedas desarrolarlo, perdon pero ahora no tengo camara para subirlo, espero que hayas entendido
Hola, estoy buscando ejercicios de "limites por definición del producto de dos funciones" pero no he encontrado, si alguien sabe de algunos que me pueda pasar para resolverlos seria estupendo. Gracias.
Hola unicoos!!
He enviado dos ejercicios para corregir y no he recibido respuesta..
Es este el procedimiento a seguir o estoy haciendo algo mal...
Gracias!!!!!
Hola. Sigo con los problemas de trigonometría. Estos dos apartados no se como se hacen. ¿Me pueden ayudar?
Gracias

Intentemos una ayuda:
Por simetría, las diagonales del rombo se cortan en el centro de simetría del rectángulo inscripto, y la diagonal mayor y las bases del rectángulo son divididas a la mitad por la diagonal menor,
y lo mismo ocurre con la diagonal menor y las alturas del rectángulo inscripto, que son divididas a la mitad por la diagonal mayor.
Pareciera desprenderse del enunciado que los datos son (y si no son los datos, deberás pedir más precisión en el enunciado):
|diagonal mayor| = 2m,
|diagonal menor| = 1m,
|base| = 1,20m.
La altura del rectángulo se puede plantear con la proporción: 2/1 = 1,20/|altura|.
Espero haberte ayudado.
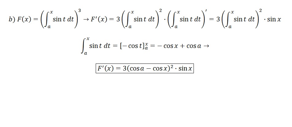
Hola Unicos!!. Una consulta, me han dado el siguente ejercicio de derivadas implícita: 3x^2y+2xy^2=1
Y por la ayuda de sus vídeos lo he resuelto una parte así:
6xy+3x^2y´+2y+2xy´=1
Me podrán ayudar a terminar la resolución por favor?, porque no se como juntar las y´
Hola a tod@s. En la siguiente fracción hay algo que NO hago correctamente. Lo primero multiplico denominadores por numeradores ( cruzados ) y los dos denominadores. Me queda así ;
18x-9+36+12 y denominador 108. Una vez aquí, en la igualdad multiplico 108 por 5x-2 y 18 por 18x-9+36+12. Hago la sumas y restas pertinentes y mi solución es x= 162:432.
O sea, mal porque la solución es -5/8.
La repaso pero no encuentro el error. Gracias por la ayuda ¡¡¡
me ayudan porfavor es de urgencia ....es el literal i y me dicen que haga por partes pero nose como
x^2e^xsenxdx

Empieza llamando I a la integral.
Haz por partes:
u=x^2·e^x
dv=sinx ·dx
Irás obteniendo otras integrales como la dada, con sinx con cosx, y otras con x, y finalmente otras sin x sueltas.
En todo caso, repetirás por partes las veces que sea preciso. Siempre llamando dv a la parte trigonométrica.
¡Ánimo!
Resultado: (1/2)(e^x) ((x^2 -1)sinx-((x-1)^2)cosx)+C