
¡Hola! Nos encantaría ayudarte, pero no solemos responder dudas universitarias que no tengan que ver específicamente con los vídeos que David Calle ha grabado como excepción. O de otras asignaturas que no sean Matemáticas, Física y Química. Lo sentimos de corazón… Esperamos que lo entiendas.
Ojalá algún unicoo universitario se anime a ayudarte (de hecho, lo ideal es que todos los universitarios intentarais ayudaros los unos a los otros).
me podrían ayudar con este ejercicio por favor
Se traza la tangente a un punto de la elipse 16x^2+25y^2=400 de forma que el segmento de ella interceptado con los ejes coordenados sea mínimo. demostrar que la longitud de dicho segmento es 9 unidades
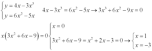
Hola Profesor, tengo una duda con un área, no me da los puntos dónde corta la función, pero se que tengo que igualar las dos funciones, pero no me da y no sé como hacerlo, estuve viendo sus videos y me re sirven pero justo cuándo quise hacerlo no pude, el ejercicio es: y= 4x-3x^3
Y= 6x^2-5x, lo igualo y no me da para poder sacar los puntos.
Tengo una duda de concepto que no encuentro solución: Si I es un intervalo (de cualquier tipo), n i m son enteros positivos, si n > m, entonces Cn(I) ⊂ Cm(I), donde Cn(I) denota el conjunto de las funciones cuyo dominio contiene I tales que existe derivada n-ésima continua para todo x∈I. No entiendo porqué Cn(I) es subconjunto de la clase Cm(I) si n>m i, por tanto, ¿no debería ser Cm(I)⊂Cn(I) ?
En números complejos, ¿A qué equivale -i?

Tienes la ecuación logarítmica:
log5(3*x2) = 0,00751, aplicas el cambio de base con logaritmos en base 10 en el primer miembro, y queda:
log(3*x2)/log(5) = 0,00751, multiplicas en ambos miembros por log(5), y queda:
log(3*x2) = 0,00751*log(5), resuelves el segundo miembro, y queda:
log(3*x2) = 0,00525, tomas antilogaritmos en base 10 en ambos miembros, y queda:
3*x2 = 100,00525, resuelves el segundo miembro, y queda:
3*x2 = 1,01216, divides por 3 en ambos miembros, y queda:
x2 = 0,33739, extraes raíz cuadrada en ambos miembros (observa que elegimos la raíz positiva), y queda:
x = 0,58085;
luego, elevas al cubo en ambos miembros, y queda:
x3 = 0,19597, multiplicas por 2 en ambos miembros, y queda:
2*x3 = 0,39194, tomas logaritmos en base 10 en ambos miembros, y queda:
log(2*x3) = log(0,39194), resuelves el segundo miembro, y queda:
log(2*x3) = -0,40678, divides por log(2,5) en ambos miembros, y queda:
log(2*x3)/log(2,5) = -0,40678/log(2,5), resuelves el segundo miembro, y queda:
log(2*x3)/log(2,5) = -1,02214, aplicas el cambio de base con logaritmos en base 10 en el primer miembro, y queda:
log2,5(2*x3) = -1,02214.
Espero haberte ayudado.