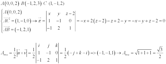
A(0,0,2) B(-1,2,3) C (1,-1,2)
Hallar la ecuación general del plano
el area del triangulo que contiene
halla la distancia
que alguien me ayude me atragante en dos pasos creo
hola buenas tardes. Queria saber como se calcula el porcentaje global de aumento o disminución con el indice de variación. Si en un articulo se rebaja un % y luego se sube otro % y luego se vuelve a disminuir otro %.
gracias

Puedes llamar: Pi al precio inicial del artículo, y puedes llamar a a la variación porcentual que lo va modificando en las tres instancias.
1°)
Se rebaja el precio a %, y queda:
P1 = Pi - Pi*a/100 = Pi*(1 - a/100) (1).
2°)
Se aumenta el precio a %, y queda:
P2 = P1 + P1*a/100 = P1*(1 + a/100),
aquí sustituyes la expresión señalada (1), y queda:
P2 = Pi*(1 - a/100)*(1 + a/100) (2).
3°)
Se rebaja el precio a %, y queda:
P3 = P2 - P2*a/100 = P2*(1 - a/100),
aquí sustituyes la expresión señalada (2), y queda:
P3 = Pi*(1 - a/100)*(1 + a/100)*(1 - a/100),
aquí ordenas y asocias factores iguales, y queda:
P3 = Pi*(1 - a/100)2*(1 + a/100) (3),
que es la expresión del precio final del artículo.
Luego, con la expresión del precio final y la expresión del precio inicial, planteas la expresión de la variación total del precio, y queda:
ΔP = P3 - Pi,
aquí sustituyes la expresión señalada (3), y queda:
ΔP = Pi*(1 - a/100)2*(1 + a/100) - Pi,
aquí extraes factor común, y queda:
ΔP = Pi*( (1 - a/100)2*(1 + a/100) - 1 ) (4).
Luego, con la expresión de la variación total del precio y la expresión del precio inicial, planteas la expresión de la variación porcentual total del precio (A), y queda:
A = 100*ΔP/Pi,
aquí sustituyes la expresión señalada (4), y queda:
A = 100*Pi*( (1 - a/100)2*(1 + a/100) - 1 )/Pi,
aquí simplificas, y queda:
A = 100*( (1 - a/100)2*(1 + a/100) - 1 ).
Espero haberte ayudado.
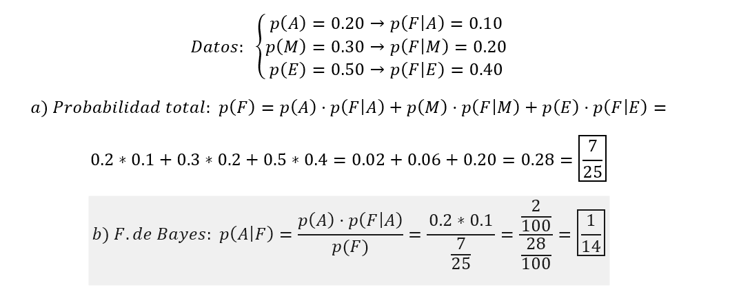
En un distrito universitario los estudiantes se distribuyen entre las tres carreras que pueden cursarse del siguiente modo. el 20% estudian arquitectura el 30% medicina y el 50% economia. El porcentaje de alumnos que finalizan sus estudios en cada caso es del 10% 20% y del 40%.
a) Elegido un alumno al azar determinar la posibilidad que acabe los estudios
b) Sabemos que un alumno acabo la carrera, determinar la probabilidad que sea arquitectura
No soy capaz de hacerlo llevo días intentandolo y no me sale el resultado
Disculpen, alguien podría ayudarme a hacer este ejercicio? Es que no entiendo que hay que hacer, además de que no comprendo como empezar. Podrían recomendarme un video tambien?