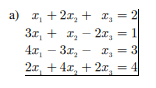
Alguien podría a ayudarme a resolver este problema de ecuaciones!!!??? Es que no comprendo su resolución. Y de paso, si alguien pudiese recomendarme muchos videos para estos problemas de ecuaciones e inecuaciones, es que no comprendo como realizarlos. Gracias!!
Hola buenas noches, estaba tratando de hacer ese ejercicio pero me resulta muy difícil hasta donde sé es que creó que hay que usar series de Taylor

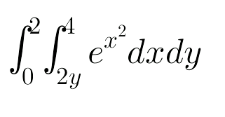
Observa que la integral no se puede resolver si planteas a x como la primera variable, por lo que conviene explorar la opción de invertir el orden de integración.
Tienes, a partir de los limites de integración, que la región de integración (R) queda descrita por la inecuación doble y por la desigualdad doble:
2y ≤ x ≤ 4,
0 ≤ y ≤ 2;
y si haces un gráfico cartesiano, verás que la región es un triángulo, cuyos vértices son los puntos:
A(0,0), B(4,0) y C(4,2),
y verás también que la región está limitada "por debajo" por la recta que une los vértices A y B, que es el eje de abscias (OX), cuya ecuación es: y = 0;
y también verás que la región está limitada "por arriba" por la recta que une los vértices A y C, cuya ecuación es: y = (1/2)x.
Luego, puedes invertir el orden de integración, y la integral de tu enunciado queda:
I = 0∫40∫(1/2)x ex^2 * dy*dx,
extraes el factor constante para la primera variable de integración (y), y queda:
I = 0∫4 ex^2 0∫(1/2)x dy*dx,
resuelves la primera integral (indicamos con corchetes que debes evaluar con Regla de Barrow), y queda:
I = 0∫4 ex^2 [ y ]*dx,
evalúas, y queda:
I = 0∫4 ex^2 * (1/2)x*dx,
extraes el factor constante, y queda:
I = (1/2) * 0∫4 ex^2 * x*dx,
integras (observa que debes aplicar la sustitución (cambio de variable): w = x2), y queda (te dejo la tarea de resolver la integral, y observa que indicamos con corchetes que debes evaluar con Regla de Barrow):
I = (1/2) * [ (1/2)ex^2 ],
evalúas, y queda:
I = (1/2) * ( (1/2)e16 - 1/2 ) = (1/2)*(1/2)*( e16 - 1 ) = (1/4)*( e16 - 1 ),
que es la expresión que indica el colega Antonio.
Espero haberte ayudado.
Hola Unicoos.
Quiero saber si estoy en lo correcto para hacer una función compuesta, por ejemplo fog(x).
Para saber si es posible componer, los pasos serían los siguientes:
Con las x pertenecientes al dominio de g(x), obtengo su imagen, si dicha imagen está dentro de los valores posibles para f(x) es posible realizarla, se lo hace y se obtiene la imagen de la función compuesta.
El requisito sería que la imagen de g(x) sea igual o esté contenida en el dominio de f(x)
¿Estoy en lo correcto?
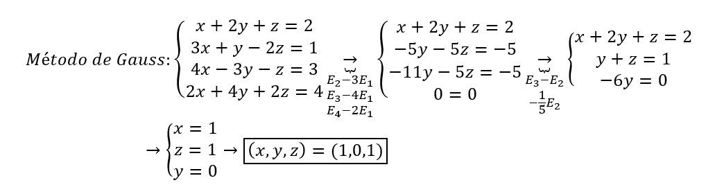
Hola , que tal? Necesito ayuda en el siguiente ejercicio de rectas y planos.
Me pide que halle la ecuacion de la recta que pasa por el punto A=(1,1,1) , es paralela al plano π: x-y+z=3 y corta a la recta L que esta como interseccion de dos planos: X=1 e Y=3
Desde ya muchas gracias!!

Observa que un vector normal del plano π es: n = <1,-1,1>.
Observa que un punto genérico de la recta L queda expresado: M(1,3,q), con a ∈ R.
Luego, con las coordenaqdas del punto A(1,1,1) que pertenece a la recta buscada, puedes plantear la expresión de un vector director para ella:
u = AM = < 1-1 , 3-1 , q-1 > = < 0 , 2 , q-1 >.
Luego, como la recta buscada es paralela al plano π, puedes plantear que su vector director es perpendicular al vector normal al plano, y tienes:
n•u = 0, sustituyes las expresiones de los vectores, y queda:
< 1 , -1 , 1 > • < 0 , 2 , q-1 > = 0, desarrollas la ecuación, cancelas el término nulo, y queda:
-2 + q - 1 = 0, sumas 3 en ambos miembros, y queda: q = 3;
luego, reemplazas en la expresión del vector director de la recta buscada, y queda:
u = < 0 , 2 , 2 >.
Luego, con las componentes del vector director de la recta (u), y con las coordenadas del punto que pertenece a ella que tienes en tu enunciado (A), puedes plantear las ecuaciones cartesianas paramétricas de la recta buscada:
x = 1 + 0*t,
y = 1 + 2*t,
z = 1 + 2*t,
con el parámetro: t ∈ R.
Espero haberte ayudado.
Buenas, podran darme una mano con esto? gracias desde ya!
Mi principal problema creo que es identificando la segunda definicion del plano, osea. Creo que seria algo como:
(x-yi)(x+yi) - x2 - 2x = 2 mas no estoy seguro.
Por otro lado no estaria dandome cuenta como pasar a parametrica

¡Hola! Nos encantaría ayudarte, pero no solemos responder dudas universitarias que no tengan que ver específicamente con los vídeos que David Calle ha grabado como excepción. O de otras asignaturas que no sean Matemáticas, Física y Química. Lo sentimos de corazón… Esperamos que lo entiendas.
Ojalá algún unicoo universitario se anime a ayudarte (de hecho, lo ideal es que todos los universitarios intentarais ayudaros los unos a los otros).

Puedes comenzar por expresar al número complejo en forma cartesiana binómica genérica:
z = x + y*i,
con x ∈ R e y ∈ R;
de donde tienes:
z*zc = (x + y*i)*(x - y*i) = x2 + y2 (1),
z2 = (x + y*i)2 = x2-y2 + 2*x*y*i (2).
a)
Tienes que los puntos de la curva cumplen las condiciones:
-1 ≤ x < 3 (1),
x2 + y2 - (x2-y2) - 2*x = 2 (2).
Luego, distribuyes el agrupamiento de la ecuación señalada (2), reduces términos semejantes (observa que tienes cancelaciones), y queda:
2*y2 - 2*x = 2, divides por 2 en todos los términos de la ecuación, y queda:
y2 - x = 1, sumas x en ambos miembros, y queda:
y2 = x + 1 (3),
que es la ecuación canónica de una parábola con vértice V(-1,0), eje de simetría coincidente con el eje OX, con sus ramas que se abren hacia los valores positivos.
Luego, y de acuerdo con la condición señalada (1), observa que tienes una trayectoria que corresponde a un arco de esta parábola, cuyos extremos abiertos son los puntos A(3,2) y B(-3,2).
b)
Luego, puedes definir la parametrización:
y = 2 - t, con el intervalo paramétrico: 0 < t < 4.
sustituyes en la ecuación señalada (3), y queda:
(2 - t)2 = x + 1, desarrollas el binomio elevado al cuadrado, y queda:
4 - 4*t + t2 = x + 1, restas 1 en ambos miembros, ordenas términos, y queda:
t2 - 4*t + 3 = x, permutas miembros en la ecuación, y queda:
x = t2 - 4*t + 3;
y observa que la trayectoria corresponde a recorrer la curva:
desde las inmediaciones del punto A(3,2) (al que le correspondería el valor paramétrico t = 0),
pasando por el vértice V(-1,0) (al que le corresponde el valor paramétrico: t = 2),
hasta las inmediaciones del punto B(-3,2) (al que le corresponde el valor paramétrico: t = 4).
Queda que presentes las ecuaciones cartesianas paramétricas y su intervalo paramétrico en forma ordenada.
Espero haberte ayudado.

Observa que tienes que los sucesos son independientes, por lo que puedes plantear:
p(A∩B) = p(A)*p(B) = 0,6*0,2 = 0,12.
Luego, puedes plantear para la unión de los dos sucesos:
p(A∪B) = p(A) + p(B) - p(A∩B) = 0,6 + 0,2 - 0,12 = 0,68.
Luego, puedes plantear para la unión de los sucesos complementarios:
p(Ac∪Bc) = aplicas la Ley de De Morgan para la unión de sucesos complementarios
= p( (A∩B)c ) =
= 1 - p(A∩B) =
= 1 - 0,12 = 0,88.
Luego, puedes plantear para la intersección de los sucesos complementarios:
p(Ac∩Bc) = aplicas la Ley de De Morgan para la intersección de sucesos complementarios:
= p( (A∪B)c ) =
= 1 - p(A∪B) =
= 1 - 0,68 = 0,32.
Luego, puedes plantear para la intersección entre el suceso complementario de A y el suceso B:
p(Ac∩B) = aplicas la definición de diferencia entre dos conjuntos:
= p(B-A) = expresas a la probabilidad de la diferencia en función de la unión y de la intersección:
= p(B) - p(A∩B) =
= 0,2 - 0,12 = 0,08.
Luego, puedes plantear para la probabilidad condicional del suceso complementario de A dado que ocurre el suceso B:
p(Ac/B) = aplicas la definición de probabilidad condicional:
= p(Ac∩B)/p(B) = reemplazas valores (observa el ejercicio anterior:
= 0,08/0,2 = 0,04.
Espero haberte ayudado.