Hola, tengo una duda muy obvia pero no lo veo... El ejercicio en si era de química, pero la duda que tengo es más matemática que otra cosa. Si tienes Velocidad1=0,45 · Velocidad 2
Por qué velocidad 2 es más grande que velocidad 1?
Al fin y al cabo si multiplicas algo el resultado de esa velocidad será más grande( en este caso la 1), pero no es así y no lo entiendo ._. O sea no logro ver porque la velocidad 2 es más grande que la velocidad 1

¡Hola! Nos encantaría ayudarte, pero no solemos responder dudas universitarias que no tengan que ver específicamente con los vídeos que David Calle ha grabado como excepción. O de otras asignaturas que no sean Matemáticas, Física y Química. Lo sentimos de corazón… Esperamos que lo entiendas.
Ojalá algún unicoo universitario se anime a ayudarte (de hecho, lo ideal es que todos los universitarios intentarais ayudaros los unos a los otros).

https://www.uoc.edu/in3/emath/docs/CH_2Pob.pdf
Tienes resuelto uno similar en la página 4.
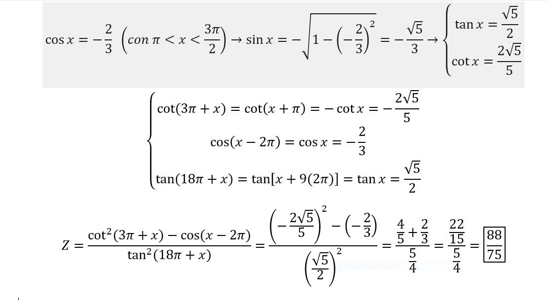
me podrían ayudar con este ejercicio por favor
un recipiente mide 80m de longitud y su sección transversal es un trapecio isósceles con lados iguales de 10m, base mayor de 17m y base menor de 5m. En el instante en que el agua a alcanzado una profundidad de 5m, determine la tasa a la cual el agua escapa si su nivel disminuye a una tasa de 0,1m/h
A (0,0,2) B (-1,2,-3) y C(1,-1,2)
a)hallar la ecuación general del plano
AB= (-1,2,3)-(0,0,2)= (-1,2,-5) luego hice un determinante y me salio la ec del plano x-y+z-2=0
AC= (1,-1,2)-(0,0,2)= (1,-1,0)
b)El area del triangulo que contiene
c)Halla la distancia
Los apartados b y c no soy capaz y ya hice de varias formas pero me da algo raro numeros negativos y 0/1