No consigo entender la continuidad ni los limites tanto en infinito como normal de una función a trozos. Por favor, me quedan 4 días para la EBAU. Miro videos pero no lo consigo entender, de la rama de ciencias sociales. Aquí tengo dos problemas de los miles que hago pero no me salen ninguno:
3. El número de vehículos que ha pasado cierto día por el peaje de una autopista viene dado por la función: donde ܰ indica el número de vehículos y ݐ el tiempo transcurrido en horas desde las 0:00 h. a) ¿Es continua esta función? Justificar la respuesta. b) ¿Entre qué horas aumentó el número de vehículos que pasaba por el peaje? Justificar la respuesta. c) ¿A qué hora pasó el mayor número de vehículos? ¿Cuántos fueron?
3. La profundidad de la capa de arena en una playa se verá afectada por la construcción de un dique. En una zona de la playa, esa profundidad vendrá dada por la siguiente función: P es la profundidad en metros y t el tiempo en años desde el inicio de la construcción. Si la profundidad llegara a superar los 4 metros, se debería elevar la altura del paseo marítimo. a) ¿Es continua esta función? ¿Es siempre creciente? Justificar la respuesta. b) ¿Cuál será la profundidad de la capa de arena al pasar 2 años desde el inicio de la construcción? c) ¿Será necesario elevar la altura del paseo con el paso del tiempo, por causa de la profundidad de la arena? Justificar la respuesta.
LA FUNCIÓN NO PUEDO PONERLA. Tengo el solucionario pero no lo entiendo.
Hola!! Una duda con este ejercicio de Lagrange, al hacer el polinomio con tus cuatro x que te dan en un principio, se deja en función de x?? Porque no te dan ninguna x para sustituir ![]()

¡Hola! Nos encantaría ayudarte, pero no solemos responder dudas universitarias que no tengan que ver específicamente con los vídeos que David Calle ha grabado como excepción. O de otras asignaturas que no sean Matemáticas, Física y Química. Lo sentimos de corazón… Esperamos que lo entiendas.
Ojalá algún unicoo universitario se anime a ayudarte (de hecho, lo ideal es que todos los universitarios intentarais ayudaros los unos a los otros).
Hola tengo una pequeña duda, ¿por qué el dominio de esta funcion son todos los reales si los valores que va a tomar van a ser (0,infinito) , pues la exponencial siempre es mayor que 0 y x^2 siempre es positivo?
y=x^2e^x

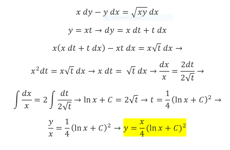
Planteas la sustitución:
y = t*x (1),
de donde tienes:
y/x = t (2),
y también tienes:
dy = dt*x + t*dx (3).
Luego, sustituyes las expresiones señaladas (1) (3) en la ecuación diferencial, y queda:
x*(dt*x + t*dx) - t*x*dx = √(t*x2)*dx,
distribuyes el primer término en el primer miembro, distribuyes la raíz en el segundo miembro, y queda:
x2*dt + t*x*dx - t*x*dx = √(t)*x*dx,
cancelas términos opuestos en el primer miembro, y queda:
x2*dt = √(t)*x*dx,
divides en ambos miembros por √(t)*x2, y queda:
dt/√(t) = dx/x;
luego, integras en ambos miembros, y queda:
2*√(t) = ln|x| + C;
luego, sustituyes la expresión señalada (2) en el argumento de la raíz cuadrada, y queda:
2*√(y/x) = ln|x| + C,
que es una forma implícita de la solución general de la ecuación diferencial de tu enunciado.
Espero haberte ayudado.

Expresas al primer término del primer miembro como una suma de expresiones racionales, y queda:
a,22222... = a + 2/9.
Expresas al segundo término del primer miembro como una suma de expresiones racionales, y queda:
2,88888... = 2 + 8/9 = 26/9.
Expresas al segundo miembro como una suma de expresiones racionales, y queda:
b,11111... = b + 1/9.
Luego, sustituyes expresiones en la ecuación de tu enunciado, y queda:
a+2/9 + 26/9 = b+1/9,
reduces términos numéricos en el primer miembro, y queda:
a + 28/9 = b + 1/9,
restas 3 y sumas 3 en el segundo miembro, asocias términos en el segundo miembro, y queda:
a + 28/9 = (b-3) + (3+1/9),
resuelves el segundo término en el segundo miembro, y queda:
a + 28/9 = (b-3) + 28/9,
restas 28/9 en ambos miembros, y queda:
a = b - 3 (1).
Luego, como a y b deben ser ambos números naturales menores que 10, tienes las opciones:
a = 0 y b = 3, cuya suma queda: a+b = 3;
a = 1 y b = 4, cuya suma queda: a+b = 5;
a = 2 y b = 5, cuya suma queda: a+b = 7;
a = 3 y b = 6, cuya suma queda: a+b = 9;
a = 4 y b = 7, cuya suma queda: a+b = 11;
a = 5 y b = 8, cuya suma queda: a+b = 13;
a = 6 y b = 9, cuya suma queda: a+b = 15.
Por lo que tienes que las opciones A y C son dos de las siete posibles respuestas correctas, por lo que sería muy conveniente que consultes con tus docentes por el enunciado de este problema.
Espero haberte ayudado.
hola unicoos, alguien me podría ayudar a resolver este ejercicio de progresiones es que tengo un examen el lunes y no se como resolver este problema?? gracias.
Los ángulos de un polígono de cinco lados forman una progresión aritmética. Calcúlalos sabiendo que el menor de ellos mide 18º
gracias

Recuerda que la suma de las medidas de los ángulos interiores de un polígono de n lados tiene la expresión:
S = 180°*(n-2), por lo que tienes que la suma para un pentágono es:
S = 540°.
Luego, plantea la expresión desarrollada de la suma (llamamos d a la diferencia entre elementos consecutivos de la progresión aritmética), y queda:
18° + 18°+d + 18°+2d + 18°+3d + 18°+4d = 540°,
reduces términos semejantes en el primer miembro, y queda:
90° + 10d = 540°,
divides por 10 en todos los términos de la ecuación, y queda:
9° + d = 54°,
restas 9° en ambos miembros de la ecuación, y queda:
d = 45°;
luego, tienes que los elementos de la progresión aritmética son:
18°, 63°, 108°, 153° y 198°,
que son las medidas de los ángulos interiores del pentágono.
Espero haberte ayudado.
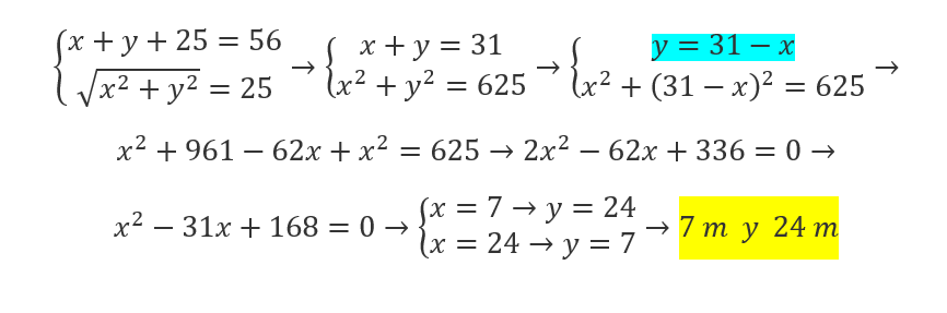
El perímetro de un triángulo rectángulo es de 56m y la Hipotenusa 25m. Halla sus catetos

Vamos con dos precisiones:
La expresión de la longitud de un cateto en función del otro es: y = 31 - x.
Luego, la expresión de la ecuación cuadrática, a partir de sus segunda expresión en la última línea, es:
x2 + x2 - 62x + 312 = 252, reduces términos cuadráticos, resuelves cuadrados numéricos, y queda:
2x2 - 62x + 961 = 625, restas 625 en ambos miembros, y queda:
2x2 - 62x + 336 = 0, divides por 2 en todos los términos de la ecuación, y queda:
x2 - 31x + 168 = 0, cuyas soluciones son:
x1 = 7 m, que al remplazar en la ecuación remarcada queda y1 = 24 m;
x2 = 24 m, que al remplazar en la ecuación remarcada queda y2 = 7 m;
por lo que tienes que las dos soluciones conducen al mismo resultado geométrico: las longitudes de los catetos del triángulo rectángulo son 24 m y 7 m.
Espero haberte ayudado.