Foro de preguntas y respuestas de Matemáticas

logo beUnicoos
Los foros de unicoos se han unificado en nuestra nueva plataforma beUnicoos. Para dejar nuevas preguntas deberás hacerlo allí, donde además podrás encontrar nuevas asignaturas y herramientas para ayudarte más con tus estudios.

  • icon

    Nico Tornero
    el 2/6/18

     Hola me ayudan con el inciso b y c? por favor! gracias !

    replythumb_up0 voto/sflag
    icon

    César
    el 2/6/18

    http://www.ma.uva.es/~antonio/Industriales/Apuntes_09-10/MatI/09_Anexo-1_09-10.pdf

    thumb_up0 voto/sflag
    icon

    Nico Tornero
    el 2/6/18

    Era justo el que ya había hecho, pero gracias

    thumb_up0 voto/sflag
  • icon

    Vivi
    el 2/6/18

    Me ayudan con este ejercicio


    replythumb_up0 voto/sflag
    icon

    César
    el 2/6/18


    thumb_up0 voto/sflag
    icon

    Gabriel
    el 2/6/18

    Estoy con César. Tampoco me da ningún resultado, me da lo mismo que a él...

    thumb_up0 voto/sflag
  • icon

    Gregory Steven Torres Torres
    el 1/6/18

    Hola. No entiendo este ejercicio de vectores. ¿Alguna idea de como se resuelve?

    replythumb_up0 voto/sflag
    icon

    César
    el 2/6/18


    thumb_up1 voto/sflag
  • icon

    Manuel Minaya
    el 1/6/18

    Hola, me podrían confirmar si mi planteamiento de las ecuaciones es el correcto?

    A+B-C=360

    A+B+C=800

    0.06A+ 0,12B + 0,30C= 917.60


    replythumb_up0 voto/sflag
    icon

    Antonius Benedictus
    el 1/6/18


    thumb_up0 voto/sflag
  • icon

    Nico Tornero
    el 1/6/18

     Hola me podrían decir que propiedad uso aquí? como paso A v1º v2=vº At v2 ??? 

    replythumb_up0 voto/sflag
    icon

    Antonius Benedictus
    el 1/6/18


    thumb_up0 voto/sflag
  • icon

    Valeria Meraaz
    el 1/6/18

    ayuda por favor, necesito entenderlo perfectamente, gracias!!


    replythumb_up0 voto/sflag
    icon

    Antonius Benedictus
    el 2/6/18


    thumb_up0 voto/sflag
  • icon

    Diego
    el 1/6/18

    Buenas, estoy preparando Calculo/B una materia en la universidad, los temas principales son derivadas e integrales. Algun libro que me recomienden? Tengo tiempo


    replythumb_up0 voto/sflag
    icon

    Antonius Benedictus
    el 1/6/18


    thumb_up1 voto/sflag
    icon

    César
    el 1/6/18

    Aqui lo tienes en pdf.

    https://pavisva.files.wordpress.com/2016/01/cc3a1lculo-robert-adams-6ta-edicic3b3n.pdf


    thumb_up1 voto/sflag
  • icon

    Marina
    el 1/6/18

    Hola tengo una preguntas sobre probabilidad y los intervalos de confianza.

    ¿El nivel de significación es lo mismo que los grados de libertad?

    Gracias.

    replythumb_up0 voto/sflag
    icon

    Xabier barinaga
    el 2/6/18

    Hola Marina, si restas el 100 al intervalo de confianza te quedan 2 extemos en la curva de Gauss.... cada uno de esos extremos es el nivel de significación... luego la resta tienes que dividir entre 2

    thumb_up0 voto/sflag
  • icon

    Valeria Meraaz
    el 1/6/18

    hola!! alguien que me ayude con probabilidades de dos sucesos (A,B)

    • que significa la P(A ) y P(B )

    la exponencial C no logro entender a que se refiere. gracias!

    replythumb_up0 voto/sflag
    icon

    Antonius Benedictus
    el 1/6/18

    Se refiere al suceso contrario (o complementario)

    El suceso contrario de A es el suceso que se verifica cuando no lo hace A,

    Su probabilidad es 1- p(A)

    thumb_up0 voto/sflag
  • icon

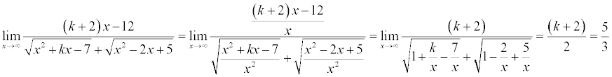
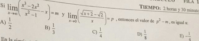
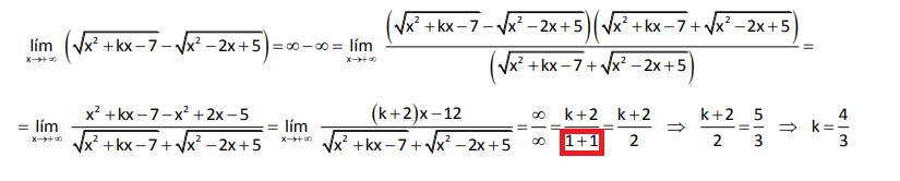
    Iván
    el 1/6/18

    Necesito ayuda con un limite, estoy haciendo de repaso de otras comunidades y hay uno de Aragón del año pasado que no consigo entender un paso que ha hecho para resolverlo.

    El ejercicio es este:


    Y la solución dada es esta:


    Lo que no entiendo es como le puede dar ese denominador 1+1, se que hay que aplicar L' Hopital, pero no me da eso. Si alguien me puede ayudar se lo agradecería.


    replythumb_up0 voto/sflag
    icon

    Antonio
    el 1/6/18

    No aplica L' Hôpital, pero estaría bien

    Hace algo diferente, a ver si me explico: Al ser una indeterminación inf/inf  usa el truco de los grados, fíjate que el grado del numerador es uno y su coeficiente es k+2 y ahora, lo difícil, en el denominador tenemos una suma de una raíz cuadrada de un cuadrado con coeficiente uno por lo que sería grado uno con coeficiente uno y lo mismo para el segundo sumando, por lo que saldría el 1+1.

    thumb_up0 voto/sflag
    icon

    César
    el 1/6/18



    thumb_up0 voto/sflag