Foro de preguntas y respuestas de Matemáticas

logo beUnicoos
Los foros de unicoos se han unificado en nuestra nueva plataforma beUnicoos. Para dejar nuevas preguntas deberás hacerlo allí, donde además podrás encontrar nuevas asignaturas y herramientas para ayudarte más con tus estudios.

  • icon

    fernando
    el 2/6/18

    Hola, el otro día pregunte sobre este ejercicio https://i.gyazo.com/5819f8c3cabf78461c413291c9f86f25.png  había visto que lo hizo con probabilidad

    https://www.unicoos.com/img/foros/73283_e5356138fafe783a1f61a40abb126a93.png  y  hoy vi en un video que ese mismo ejercicio lo hace con ecuaciones pero el primer metodo me parece mas fácil, pero aún asi me gustaria  saber que tipo de probabilidades   debo estudiar para hacer este tipo de problemas


    replythumb_up0 voto/sflag
    icon

    Antonius Benedictus
    el 2/6/18


    thumb_up0 voto/sflag
  • icon

    Alfonso Sampedro
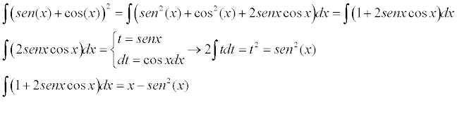
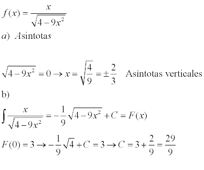
    el 2/6/18

     Alguien me ayuda con esta integral? Muchas gracias❤️


    replythumb_up0 voto/sflag
    icon

    César
    el 2/6/18


    thumb_up1 voto/sflag
  • icon

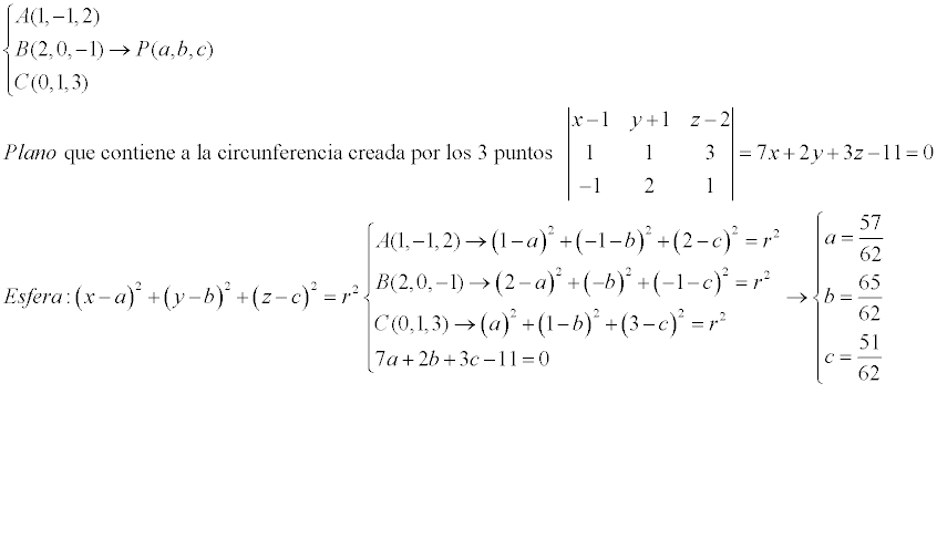
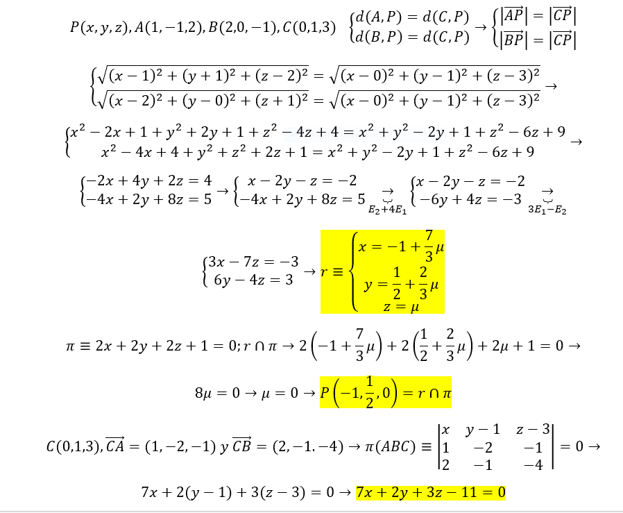
    Lourdes
    el 2/6/18

    Alguien me podría ayudar con este ejercicios, es que no lo entiendo, necesito que me l expliquen 

    replythumb_up0 voto/sflag
    icon

    Lourdes
    el 2/6/18

    Y como se hace la circunferencia??

    thumb_up0 voto/sflag
    icon

    Antonius Benedictus
    el 2/6/18


    thumb_up0 voto/sflag
    icon

    César
    el 2/6/18


    thumb_up0 voto/sflag
  • icon

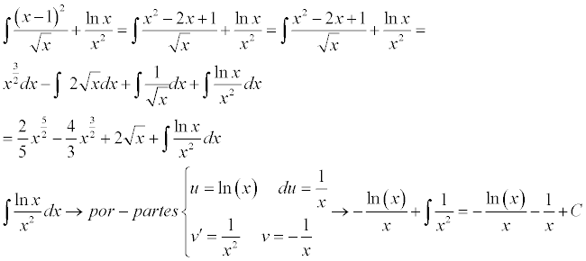
    Tatiana
    el 2/6/18

    por favor alguien me puede explicar como se hace esta integral: 

    replythumb_up0 voto/sflag
    icon

    César
    el 2/6/18


    thumb_up1 voto/sflag
  • icon

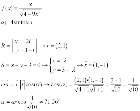
    comando bachuerino
    el 2/6/18

    Hola buenas tengo dudas con este ejercicio:

    Halla el anfulo formado por las rectas de ecuaciones:

    R={x= 2t; y=1+t} S=x+y-3. Sé que hay que sacar el vector director de ambas y despues aplicar la formula pero no se como sacarlos.

    replythumb_up0 voto/sflag
    icon

    César
    el 2/6/18


    thumb_up0 voto/sflag
  • icon

    carmela
    el 2/6/18

    Buenos dias únicos. Me podeis ayudar a resolver el apartado a. De momento tengo dificultades hasta para encontrar el dominio pirque la solucion que me da es distinta a la del ejercicio resuelto. Mil gracias

    replythumb_up0 voto/sflag
    icon

    César
    el 2/6/18


    thumb_up0 voto/sflag
    icon

    Antonius Benedictus
    el 2/6/18


    thumb_up0 voto/sflag
    icon

    carmela
    el 2/6/18

    Mil gracias a los dos. Estaba haciendo lo mismo que Cesar

    thumb_up0 voto/sflag
    icon

    César
    el 2/6/18

    Vaya despiste el mio, lo siento



    thumb_up0 voto/sflag
    icon

    carmela
    el 2/6/18

    Pues a mí me ha ayudado tu despiste Cesar. Al menos me ha animado alver que salvo eso el resto lo tenia bien. Mil gracias

    thumb_up1 voto/sflag
  • icon

    Ángel Pérez
    el 2/6/18

    Hola,

    en los sistemas de ecuaciones de tres ecuaciones, en el examen de EBAU puede haber de 3 o de 4 incógnitas.

    ¿Qué método utilizo para cada uno?

    replythumb_up0 voto/sflag
    icon

    Antonius Benedictus
    el 2/6/18

    Para tres incógnitas:
    Determinante de la matriz de coeficientes.

    Discusión por Rouché.

    Resolución por Cramer (si hay parámetros)

    Resolución por Gauss (si no los hay).

    Para cuatro incógnitas: va a salir incompatible o compatible indeterminado.

    Yo discutiría y resolvería por Gauss.

    thumb_up1 voto/sflag
  • icon

    Juan Izarra Castaños
    el 2/6/18

    Hola,

    No sé como se representan las inecuaciones 6≤ 2x+3y≤29 y 0≤y≤ -1+2x en un gráfico.

    Me lo puede alguien explicar lo necesito para un problema de programación lineal de selectividad que cayó en selectividad en julio 2016 

    Gracias.

    replythumb_up0 voto/sflag
    icon

    Antonius Benedictus
    el 2/6/18

    Las rectas paralelas son: 2x+3y=6, 2x+3y=29 (la más lejana de (0,0)

    La horizontal es: y=0

    La otra oblicua es: y=-1+2x 

    thumb_up0 voto/sflag
  • icon

    Guido Ferrari
    el 2/6/18

    Hola Unicoos me ayudarian?

    replythumb_up0 voto/sflag
    icon

    César
    el 2/6/18

    Habiendo asintotas verticales en x=-1 y x=1 no veo como puede ser <0 en ese intervalo.

    Es correcto el enunciado?



    thumb_up1 voto/sflag
    icon

    Gabriel
    el 2/6/18

    La primera idea que se me ocurre, es que tenemos una raíz en el cociente (en el numerador o denominador) en x=3. Esto lo digo porque el intervalo empieza en 3, y los intervalos comienzan donde corta la función al eje x que es donde cambia de signo.

    El denominador tiene dos raíces en x=±1

    Por este motivo debe hacer una raíz en el numerador en x=3, por lo que si es una raíz el resto sería, R=0, así, aplicando el teorema del resto.

    P(x)=kx3-x+k-4;

    P(3)=27k-3+k-4=0

    28k=7

    k=4

    Eso sí, sustituyendo ese valor a la función, no me cuadra el resultado... A ver si alguien más puede ayudar...

    thumb_up1 voto/sflag
  • icon

    Brenda Galvez
    el 2/6/18

    ¿Cuál sería la solución general de esta ecuación diferencial?

    replythumb_up0 voto/sflag
    icon

    César
    el 2/6/18

    No estoy muy seguro que se pueda integrar así


    thumb_up0 voto/sflag