Foro de preguntas y respuestas de Matemáticas

logo beUnicoos
Los foros de unicoos se han unificado en nuestra nueva plataforma beUnicoos. Para dejar nuevas preguntas deberás hacerlo allí, donde además podrás encontrar nuevas asignaturas y herramientas para ayudarte más con tus estudios.

  • icon

    cristian
    el 1/6/18

    Modulo y Argumenro de raiz(3) - i

    gracias de antemano

    replythumb_up0 voto/sflag
    icon

    Antonio
    el 1/6/18

    Entiendo que es raiz cúbica de -i

    Una de las tres soluciones  es i con módulo 1 y argumento 90º

    las otras dos son módulo 1 y argumento 210º y módulo 1 y argumento 330º



    thumb_up1 voto/sflag
    icon

    Antonius Benedictus
    el 1/6/18


    thumb_up0 voto/sflag
  • icon

    Roberto
    el 1/6/18

    Hola, no entiendo los teoremas que van a cair en selectividad. gracias a tu video entiend el fundamental pero el resto los poderias explicar? (para qué siren?, cómo se hacen? y qué te pueden preguntar en selectividad?)


    replythumb_up1 voto/sflag
    icon

    Antonius Benedictus
    el 1/6/18

    Na Selectividade galega, os que saen máis son: o Teorema de Bolzano, o Teorema de Rolle, o Teorema do Valor Medio e o Fundamental.


    thumb_up1 voto/sflag
    icon

    Antonius Benedictus
    el 1/6/18

    El  Teoema de Cauchy no entra.

    thumb_up0 voto/sflag
  • icon

    Frank Way
    el 1/6/18

    Hola como están disculpen,me podrían ayudar con estos ejercicios de integrales?

    Representar la región limitada por las gráficas de las ecuaciones dadas,expresar su volumen como una integral triple

    A)x+2y+3z=6,x=0,y=0,z=0

    D)36x^2+9y^2+4z^2=36


    Me gustaría resolverlas por el método de cambio de variables ya que me es más sencillo entender,me ayudarían?se los agradeceré!! 

    replythumb_up0 voto/sflag
    icon

    César
    el 1/6/18

    Revisalo bien


    thumb_up0 voto/sflag
    icon

    Frank Way
    el 4/6/18

    No en tendi disculpa!!!

    thumb_up0 voto/sflag
  • icon

    Samu
    el 1/6/18

    Por favor una ayudita con este ejercicio 🙏 

    replythumb_up0 voto/sflag
    icon

    Antonius Benedictus
    el 1/6/18


    thumb_up0 voto/sflag
    icon

    Samu
    el 2/6/18

    Con el diagrama de árbol como sería??

    thumb_up0 voto/sflag
  • icon

    Ramón
    el 1/6/18

    ¡Hola!

    Llevo ya casi un par de horas intentando resolver este problema de optimización pero la solución no tiene sentido.

    Adjunto una foto

    ¡Muchas Gracias!

    replythumb_up0 voto/sflag
    icon

    Antonius Benedictus
    el 1/6/18


    thumb_up1 voto/sflag
  • icon

    Christian Benito
    el 1/6/18

    Hola, quería saber si tenéis más vídeos de identidades notables elevadas al cubo. Gracias!

    replythumb_up0 voto/sflag
    icon

    Antonius Benedictus
    el 1/6/18


    thumb_up0 voto/sflag
  • icon

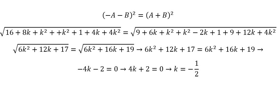
    Maria Ibarra
    el 1/6/18

    Hola buenas!! Alguien que entienda el catalán me podría ayudar? Éste ejercicio de la selectividad ( apartado B) me pide esto y no se cómo llega hasta el resultado ya que a mi la K me da 0. 


    replythumb_up0 voto/sflag
    icon

    Antonius Benedictus
    el 1/6/18


    thumb_up0 voto/sflag
  • icon

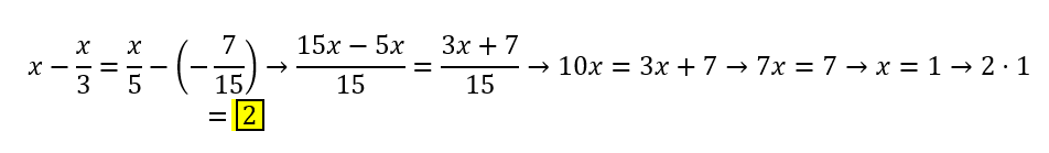
    Manuel Minaya
    el 1/6/18

    Hola,

     

    Quisiera que porfa me ayudaran con este caso. Estoy resolviendo un simulacro de selectividad de la UNED y me aparece ese problema, he planteado las 3 ecuaciones lo he resuelto y creo que está bien, sin embargo no creo que esté correcto debido a que los precios no pueden ser negativos.

     

    Y hay otro ejercicio que para ser honesto se me hace muy fácil para una prueba como estas pero el enunciado es:

     

    Un comerciante compra un artículo por 1€. Si desea obtener una ganancia igual al 20% del precio de venta, entonces el precio al que debe vender el artículo es

     

    Yo digo que es 1.20€ pero dice que la respuesta correcta es 1.25€ 🙄. Estoy 99% seguro de que ellos se equivocaron, sin embargo quiero que ustedes me ayuden.

     

    Espero me podáis ayudar, sois los mejores!!!

     

    replythumb_up0 voto/sflag
    icon

    Antonius Benedictus
    el 1/6/18


    thumb_up1 voto/sflag
  • icon

    Fran
    el 1/6/18
    flag

    Hola buenos días , necesitaría ayuda no se si va aquí o en Fisica , es sobre el método de mallas de Maxwell para resolver mallas o por impedancias .

    Por mas vueltas que le doi no lo entiendo y tengo el examen de recuperación en 2 semanas , se que hay otra forma de hacerlo con impedancias o Z que tampoco entiendo .  Ayuda por favor . No se si podría hacer un video explicándolo .  


    replythumb_up0 voto/sflag
    icon

    Antonius Benedictus
    el 1/6/18

    Mejor en el foro de Física.

    thumb_up0 voto/sflag
    icon

    César
    el 1/6/18

    Normalmente se usa la version compleja de las L y los C.

    Aunque veo que usas Laplace.

    Por cierto en la malla 3 tienes un sigo equivocado -ε0

    thumb_up0 voto/sflag
  • icon

    Sebastián Martínez
    el 1/6/18

    hola! :D buenas, podrían ayudarme con estos ejercicios por favor,  se los agradecería muchísimo :)

    replythumb_up0 voto/sflag
    icon

    Gabriel
    el 1/6/18


    thumb_up0 voto/sflag
    icon

    Antonius Benedictus
    el 1/6/18


    thumb_up0 voto/sflag
    icon

    Antonius Benedictus
    el 1/6/18


    thumb_up0 voto/sflag
    icon

    Antonius Benedictus
    el 1/6/18

    La que falta:

    Es la c)

    Tres enteros consecutivos pueden ser:

    x-1, x, x+1

    thumb_up0 voto/sflag