Hola, alguien me puede ayudar a resolver esta función:
h(t) = (4-t2)/(2-t)
Cuál seria el dominio y rango, y la gráfica de la misma?

El dominio son todos los reales exceptuando aquellos donde la función se indetermina, es decir, el dominio es: x∈ℝ-{2} o en notación de conjuntos seria x∈(-∞,2)∪(2,∞). Observemos ahora que h(t)=(4-t²)/(2-t)=[(2-t)(2+t)]/(2-t)=2+t, por tanto el rango son todos los reales exceptuando el valor que correspondería a 2, es decir, y∈ℝ-{4} o en notación de conjuntos seria x∈(-∞,4)∪(4,∞). La gráfica correspondería a la de la recta h(t)=2+t con un hueco en (2,4). Ojala y te sirva, cualquier duda comenta :)

Es una recta por que se trata de una discontinuidad removible, es decir, podemos simplificar la función racional la cual nos arroja la ecuación de una recta. Si la función es de la otra manera que propones ya no seria una recta por que no puedes simplificar, seria una hiperbola rotada.
Buenas alguien me puede ayudar con estos ejercicios se como hallar si es inyectiva o sobre.... o biyec..... pero lo que no puedo y en lo que me confundo es en verificar si existe o no la función alguien me puede explicar![]()

Supongo se refiere a dar el dominio para el cual la función existe. Para el caso de a, b y d el dominio son todos los reales. Para e el dominio son todos los reales excepto el 5. Para el caso de c el dominio son todos los reales mayores o iguales a -3/2. Y finalmente para f el dominio son todos los reales mayores que 3. Ojala y te sirva, cualquier duda comenta :)
Me pueden pasar algunos videos que me ayuden a resolver estos ejercicios o decirme que tengo que hacer? nomas me sale el
primero pero los demas no tengo idea
21. b)
cos(2x)=3/2
cos2x-sen2x=3/2
cos2x-(1-cos2x)=3/2
cos2x-1+cos2x=3/2
2cos2x=3/2 +1
2cos2x=3/2 +2/2
2cos2x=5/2
cos2x= 5/4
cosx= √(5/4)
Solución
(sin calculadora):
Sabemos por teoría que como -1≤ cosx≤ 1 , entonces -1≤ cos2x≤ 1 , y como √(5/4) > 1 , entonces no existe x∈ℛ que verifique que cosx=√(5/4). Por lo tanto, no tiene solución.
(con calculadora):
cosx= √(5/4) --------> arcos(√(5/4))=x --------> arcos(√(5/4))= MathError = x =No tiene solución
Podemos afirmar entonces que en cualquier caso la supuesta ecuación o identidad no es tal, sino todo lo contrario, al no tener solución se cumplirá que siempre es una desigualdad, por lo tanto cos(2x)≠3/2 para todo ℛ.
21. d)
Es la llamada identidad trigonométrica fundamental o relación pitagórica, y las identidades trigonométricas son por definición, verdaderas para todos los valores de x∈ℛ
21. c),e) y f) son ecuaciones trigonométricas, que son verdaderas para algunos valores de x∈ℛ
Intenta resolverlos después de ver y practicar con estos vídeos:
Si tienes alguna duda nos comentas.

¡Hola! Nos encantaría ayudarte, pero no solemos responder dudas universitarias que no tengan que ver específicamente con los vídeos que David Calle ha grabado como excepción. O de otras asignaturas que no sean Matemáticas, Física y Química. Lo sentimos de corazón… Esperamos que lo entiendas.
Ojalá algún unicoo universitario se anime a ayudarte (de hecho, lo ideal es que todos los universitarios intentarais ayudaros los unos a los otros).

Planteas la derivada parcial de la función con respecto a x en el origen de coordenadas, y queda:
fx(0,0) = Lím(h→0) ( f(0+h,0) - f(0,0) )/h = Lím(h→0) ( f(h,0) - f(0,0) )/h (1).
Luego, observa que la expresión del primer término del numerador queda: f(h,0) = 5*h*0/(h2+02) = 0/h2 = 0,
y observa que tienes el valor del segundo término del numerador: f(0,0) = 0.
Luego, reemplazas en la expresión señalada (1), y la derivada parcial queda:
fx(0,0) = Lím(h→0) ( 0 - 0 )/h = fx(0,0) = Lím(h→0) 0/h = 0;
por lo que tienes que la pendiente de la recta tangente a la curva que se obtiene con la intersección de la gráfica de la curva con el plano OXZ (cuya ecuación es: y = 0),
es igual a 0.
Espero haberte ayudado.
Buenas tardes, tengo una duda y me gustaria que me ayudaran. ¿que pasa cuando una recta no tiene pendiente o tiene pendiente cero?
por ejemplo: encuentrar la ecuacion de siguientes rectas pasa por los puntos (2, -3) y no tiene pendiente.
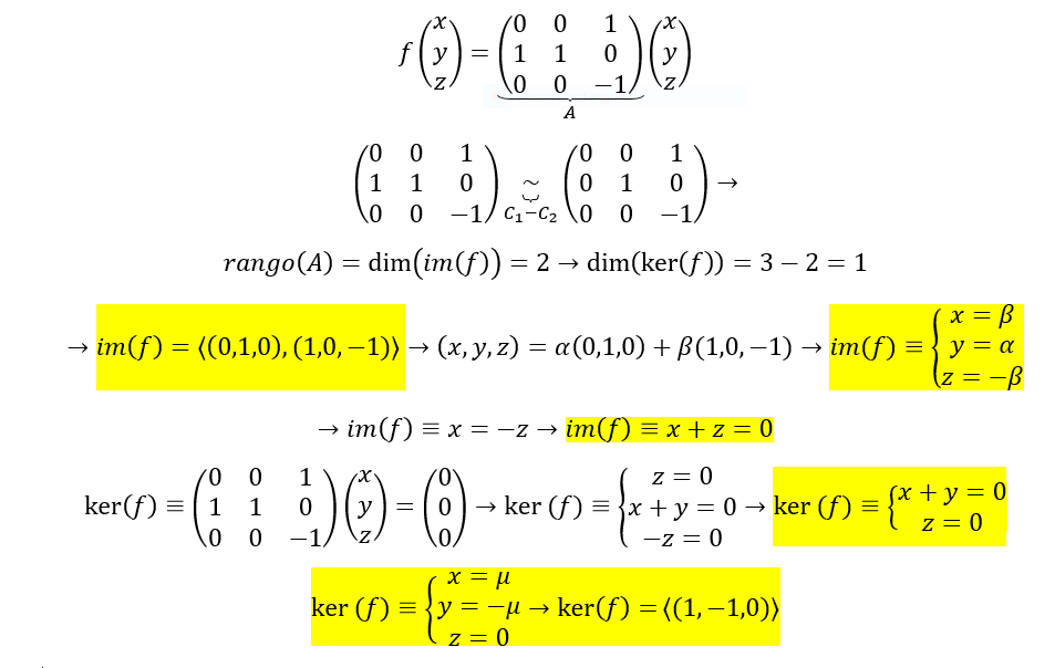
Pasa por los puntos (3, 4) y tiene pendiente cero