
Vas muy bien hasta tu cuarta línea, en la que tienes la ecuación:
4y2 - y2 + 12y = x2 + 36, reduces términos semejantes en el primer miembro, y queda:
3y2 + 12y = x2 + 36, extraes factor común en el primer miembro, y queda:
3(y2 + 4y) = x2 + 36;
luego, observa que si sumas y restas 4 dentro del agrupamiento, queda:
3(y2 + 4y + 4 - 4) = x2 + 36;
luego, factorizas el trinomio cuadrado perfecto, y queda:
3( (y+2)2 - 4 ) = x2 + 36, distribuyes en el primer miembro, y queda:
3(y+2)2 - 12 = x2 + 36, haces pasajes de términos, y queda:
-x2 + 3(y+2)2 = 48, divides por 48 en todos los términos de la ecuación, y queda:
-x2/48 + (y+2)2/16 = 1,
que es la ecuación cartesiana canónica de una hipérbola cuyos elementos son:
C(0,-2) (centro de simetría),
x = 0 (ecuación del eje focal),
y = -2 (ecuación del eje imaginario),
a = √(16) = 4 (longitud del semieje real),
b = √(48) = 4√(3) (longitud del semieje imaginario),
c = √(16+48) = √64) = 8 (longitud del semieje focal),
F1(0,6) y F2(0,-10) (focos),
e = 8/4 = 2 (excentricidad),
A1(0,2) y A2(0,-6) (vértices reales),
B1(-4√(3),-2) y B2(-4√(3),-2) (vértices imaginarios):
Espero haberte ayudado.
Por favor, ¿cómo resolver este problema?
Tres cartas distintas van a ser enviadas a tres destinatarios diferentes cuyos nombres están escritos en los sobres correspondientes. Si se introducen al azar las cartas en los sobres (una carta en cada sobre), hallar:
(a) la probabilidad de que una y solo una de las cartas llegue a su verdadero destinatario;
(b) la probabilidad de que ninguna de las cartas llegue a su verdadero destinatario.
Muchas gracias.
Este problema se puede resolver usando la probabilidad condicionada.
Basicamente
consiste en que la probabilidad de un esdevenimiento A (por ejemplo que
la segunda pelota sea blanca en un saco de pelotas blancas y negras), está condicionada por el esdevenimiento
B(el color de la primera pelota). La probabilidad de A se calcula así:
Pr(A) = Σ ( Pr(A|Bi) * Pr(Bi) )
Donde Pr(A|Bi) es la probabilidad de A condicionada el suceso Bi. En este caso tenemos dos sucesos Bi, B1: que la primera pelota sea blanca y B2: que la primera pelota sea negra.
Dicho esto vamos a resolver el problema:
- Primera bola blanca: 2/5
Ahora nos encontramos con otra condición: si la segunda pelota es blanca o negra.
-Segunda pelota blanca: 1/4
Ahora solo nos queda que la otra pelota sea negra: 3/3 = 1
-Segunda pelota negra: 3/4
Ahora solo nos queda que la otra pelota sea blanca: 1/3
-Primera pelota negra: 3/5
Ahora nos encontramos con otra condición: si la segunda pelota es blanca o negra.
-Segunda pelota blanca: 2/4 = 1/2
Ahora solo nos queda que la otra pelota sea negra: 2/3
-Segunda pelota negra: 2/4 = 1/2
Ahora solo nos queda que la otra pelota sea blanca: 1/3
Ahora sumamos resolvemos:
Pr(A) = 2/5 * ( 1/4 * 1 + 3/4 * 1/3 ) + 3/5 * ( 1/2 * 2/3 + 1/2 * 2/3 ) = 6/10 = 3/5
PRUEBA DE LA VERDAD:
para que las 3 cartas sean correctas es necesario 1/3*1/2 = 1/6
Si sumamos la probabilidad de que 0 ∪ 1 ∪ 2 ∪ 3 cartas sean las correctas queda:
1/3 + 1/2 + 0 + 1/6 = 1
No se donde preguntar esto soy nuevo ¿Donde hay videos de resoluciones de problemas para 1 eso o 6 primaria ? Gracias
Aquí tienes todos los bloques:
https://www.unicoos.com/cursos/1-eso/matematicas
Si tienes dudas con algo nos cuentas por aquí por el foro y te ayudamos.
Por favor, cómo resolver este problema?
En una urna hay 2 bolas blancas y 3 negras. Se extrae una bola al azar y se retira sin mirar su color. A continuación se extraen de la urna dos bolas simultáneamente.
(a) ¿Cuál es la probabilidad de que esas dos bolas sean de distinto color?
(b) Si, realizado el experimento, las dos bolas resultaron ser de distinto color, ¿cuál es la probabilidad de que la bola retirada fuera blanca?
Muchas gracias.
Este problema se puede resolver usando la probabilidad condicionada.
Basicamente
consiste en que la probabilidad de un esdevenimiento A (por ejemplo que
la segunda pelota sea blanca en un saco de pelotas blancas y negras), está condicionada por el esdevenimiento
B(el color de la primera pelota). La probabilidad de A se calcula así:
Pr(A) = Σ ( Pr(A|Bi) * Pr(Bi) )
Donde Pr(A|Bi) es la probabilidad de A condicionada el suceso Bi. En este caso tenemos dos sucesos Bi, B1: que la primera pelota sea blanca y B2: que la primera pelota sea negra.
Dicho esto vamos a resolver el problema:
- Primera bola blanca: 2/5
Ahora nos encontramos con otra condición: si la segunda pelota es blanca o negra.
-Segunda pelota blanca: 1/4
Ahora solo nos queda que la otra pelota sea negra: 3/3 = 1
-Segunda pelota negra: 3/4
Ahora solo nos queda que la otra pelota sea blanca: 1/3
-Primera pelota negra: 3/5
Ahora nos encontramos con otra condición: si la segunda pelota es blanca o negra.
-Segunda pelota blanca: 2/4 = 1/2
Ahora solo nos queda que la otra pelota sea negra: 2/3
-Segunda pelota negra: 2/4 = 1/2
Ahora solo nos queda que la otra pelota sea blanca: 1/3
Ahora sumamos resolvemos:
Pr(A) = 2/5 * ( 1/4 * 1 + 3/4 * 1/3 ) + 3/5 * ( 1/2 * 2/3 + 1/2 * 2/3 ) = 6/10 = 3/5

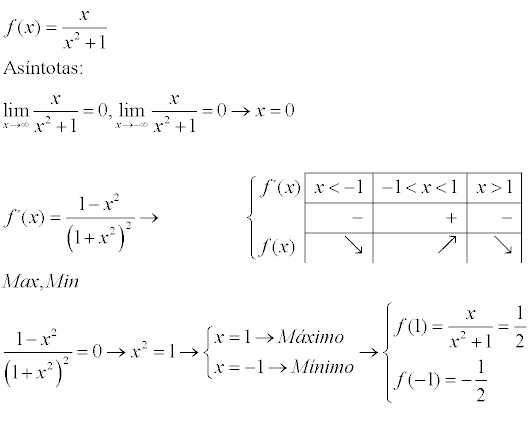
Observa que el dominio de la función es R, y que es continua en todo su dominio.
a)
Plantea los límites:
Lím(x→-∞) x/(x2+1) = extraes factor común en el denominador = Lím(x→-∞) x / x2(1+1/x2) = simplificas = Lím(x→-∞) 1 / x(1+1/x2) = 0,
Lím(x→+∞) x/(x2+1) = extraes factor común en el denominador = Lím(x→+∞) x / x2(1+1/x2) = simplificas = Lím(x→+∞) 1 / x(1+1/x2) = 0,
por lo que tienes que la recta cuya ecuación es: y = 0 es asíntota horizontal de la gráfica de la función tanto por izquierda como por derecha;
luego, plantea el sistema de ecuaciones:
y = x/(x2+1),
y = 0,
igualas expresiones, y queda:
x/(x2+1) = 0, haces pasaje de divisor como factor (observa que el divisor es distinto de cero), y queda: x = 0,
por lo que puedes concluir que la gráfica de la función corta a la recta en el punto (0,0).
b)
Planteas la expresión de la función derivada primera, y queda:
f ' (x) = (1*(x2+1) - x*2x)/(x2+1)2 = (x2+1 - 2x2)/(x2+1)2 = (1-x2)/(x2+1)2,
y observa que la expresión de la función derivada está definida en todo el dominio de la función;
luego, planteas la condición de punto crítico (posible máximo o posible mínimo), y queda:
f ' (x) = 0, sustituyesen la expresión del primer miembro, y queda:
(1-x2)/(x2+1)2 = 0, haces pasaje de divisor como factor (observa que el divisor es distinto de cero), y queda:
1 - x2 = 0, haces pasaje de término, y queda:
-x2 = -1, multiplicas en ambos miembros por -1, haces pasaje de potencia como raíz, y tienes dos opciones.
x1 = -1, cuya ordenada es: y1 = f(-1) = -1/2, y también x2 = 1, cuya ordenada es: y2 = f(1) = 1/2,
por lo que tienes los puntos de la gráfica: A1(-1,-1/2) y A2(1,1/2);
luego, divides al dominio de la función en intervalos cuyos puntos de corte sean los puntos críticos, eliges un representante en cada intervalo y evalúas el signo de la expresión de la función derivada primera, a fin de determinar si la gráfica de la función es decreciente o creciente en cada intervalo:
(-∞,-1), representado por: x = -2, y para él tienes: f ' (-2) = -3/25 < 0, por lo que tienes que la gráfica de la función es decreciente en este intervalo,
(-1,1), representado por: x = 0, y para él tienes: f ' (0) =1/1 > 0, por lo que tienes que la gráfica de la función es creciente en este intervalo,
(1,+∞), representado por: x = 2, y para él tienes: f ' (2) = -3/25 < 0, por lo que tienes que la gráfica de la función es decreciente en este intervalo,
por lo que puedes concluir que la gráfica de la función presenta:
Mínimo Absoluto en el punto A1(-1,-1/2) (observa que la gráfica de la función pasa de ser decreciente a creciente en este punto),
y Máximo Absoluto en el punto A2(1,1/2) (observa que la gráfica de la función pasa de ser creciente a decreciente en este punto).
Queda que hagas el gráfico correspondiente.
Espero haberte ayudado.