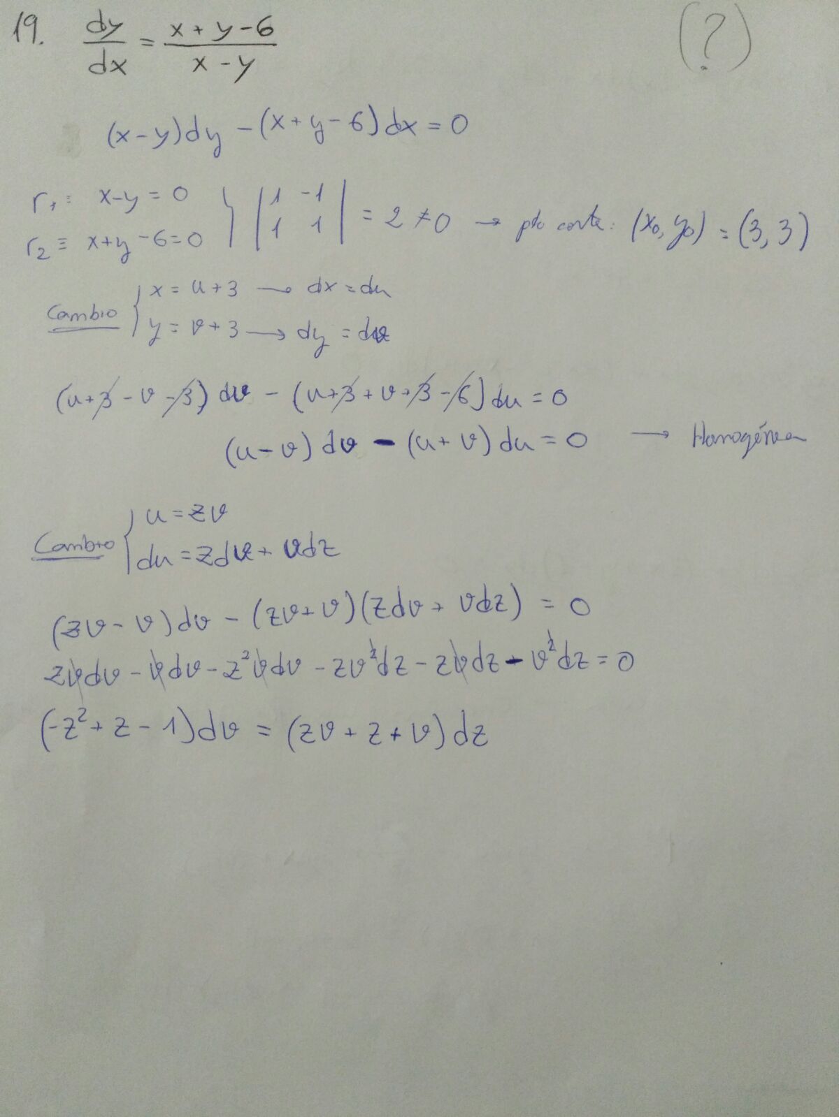
Buenas noches. En este ejercicio de edo reducible a homogénea, al final del segundo cambio me han salido variables distintas encerradas en el mismo paréntesis, por lo que no puedo separarlas para integrar. ¿Qué he hecho mal? Muchas gracias.

Vamos con una orientación para separar variables y resolver la ecuación diferencial.
Has comenzado muy bien, y has obtenido la ecuación diferencial homogénea:
(u - v)*dv = (u + v)*du (1).
Luego, plantea la sustitución (cambio de variable):
v = u*z, de donde tienes:
dv = du*z + u*dz, y también tienes:
u - v = u - u*z = u*(1 - z),
u + v = u + u*z = u*(1+z).
Luego, sustituyes expresiones en la ecuación señalada (1), y queda:
u*(1-z)*(du*z + u*dz) = u*(1+z)*du,
divides por u en ambos miembros, y queda:
(1-z)*(du*z + u*dz) = (1+z)*du,
distribuyes en el primer miembro, y queda:
z*(1-z)*du + u*(1-z)*dz = (1+z)*du,
haces pasaje de término, y queda:
u*(1-z)*dz = (1+z)*du - z*(1-z)*du,
distribuyes entre los dos primeros factores del último término, y queda:
u*(1-z)*dz = (1+z)*du - (z-z2)*du,
extraes factor común en el segundo miembro, reduces términos semejantes en el agrupamiento (observa que tienes cancelaciones), y queda:
u*(1-z)*dz = (1+z2)*du,
haces pasajes de factores como divisores a fin de separar variables, y queda:
( (1-z)/(1+z2) )*dz = (1/u)*du;
luego, integras en ambos miembros y queda:
arctan(z) - (1/2)*ln(1+z2) = ln|u| + C,
y puedes continuar la tarea.
Espero haberte ayudado.
Me podría ayudar
PrueBe que unx matriz con una fila cero esta matriz no es invertible
Pruebe que una matriz con una columna cero la matriz no esinvertible
Me podrían dar un ejemplo fe sistemas de ecuaciones donde tenga mas ecuaciones que variables y el sistema sea compatible indeterminado

Puedes plantear, por ejemplo, un sistema de dos ecuaciones lineales con dos incógnitas, que sea compatible indeterminado, como éste:
x + y = 3,
2x + 2y = 6.
que es un sistema con infinitas soluciones, cuya forma es: y = 3 - x, con x ∈ R..
Luego, si agregas ecuaciones que sean múltiplos de alguna de las ecuaciones del sistema, o si agregas ecuaciones que sean sumas o restas entre múltiplos de las ecuaciones del sistema, tendrás un sistema compatible indeterminado con más de dos ecuaciones pero con dos incógnitas.
Por ejemplo, si sumas la primera ecuación con el doble de la segunda, tienes la nueva ecuación:
5x + 5y = 15;
y, luego, puedes plantear el sistema:
x + y = 3,
2x + 2y = 6.
5x + 5y = 15,
que es un sistema compatible indeterminado,
Espero haberte ayudado.
×hola alguien me ayuda con esta derivada de f(x)= √ xlnx y tambien de
f(X)=e³+(senx)²- la ³√ x
Buenas, sigo atascado con esta derivada implícita, sé que debo usar la derivación logarítmica pero simplemente no llego al Resultado, o sea, me pierdo en el procedimiento.
y(e)2X + (X)2y =1
Respuesta: y'= -e2 -2