Hace pocos días un terremoto rompió la esfera del reloj de la torre. Sorprendentemente, las líneas por donde se rompió en cuatro partes son dos líneas rectas: una va del número 11 del reloj al número 3 y la otra del 1 al 8. ¿Qué ángulo forman estas dos rectas?
GRACIAS DE ANTEMANO!

Es muy conveniente que hagas un dibujo para que puedas visualizar mejor la situación a la que refiere el enunciado..
Observa que la distancia angular entre un número y el siguiente es 30° (llamamos r al radio de la carátula del reloj, que suponemos es circular).
Luego, establece un sistema de coordenadas cartesiano con origen en el centro de la carátula, eje OX que pasa por las posiciones de los números 3 y 9 con sentido positivo hacia la posición del número 3, y eje OY que pasa por las posiciones de los números 6 y 12 con sentido positivo hacia la posición del número 12.
Luego, señalamos los ángulos correspondientes a las posiciones de los números con respecto al semieje OX positivo, y leemos los ángulos en sentido antihorario.
Luego, observa que las posiciones de los números son:
A11( r*cos(120°) , r*sen(120°) ), resuelves coordenadas, y queda: A11( -r/2 , r√(3)/2 );
A3( r*cos(0°) , r*sen(0°) ), resuelves coordenadas, y queda: A3( r , 0 );
A1( r*cos(60°) , r*sen(60°) ), resuelves coordenadas, y queda: A1( r/2 , r√(3)/2 );
A8( r*cos(210°) , r*sen(210°) ), resuelves coordenadas, y queda: A8( -r√(3)/2 , -r/2 ).
Luego, planteas la pendiente de la recta que pasa por los dos primeros puntos (observa que su ángulo de inclinación pertenece al segundo cuadrante, y que su tangente es igual a la pendiente de la recta), y queda:
m1 = ( r√(3)/2 - 0 ) / ( -r/2 - r ) = ( r√(3)/2 ) / ( -3r/2 ) = -√(3)/3, que corresponde al ángulo de inclinación: θ1 = 150°.
Luego, planteas la pendiente de la recta que pasa por los dos últimos puntos (observa que su ángulo de inclinación pertenece al primer cuadrante, y que su tangente es igual a la pendiente de la recta), y queda:
m2 = ( r√(3)/2 - (-r/2) ) / ( r/2 - (-r√(3)/2) ) = ( r(√(3)/2+1/2) ) / ( r(1/2+r√(3)/2) ) = 1, que corresponde al ángulo de inclinación: θ2 = 45°.
Luego, planteas la expresión de la medida del ángulo determinado por las dos rectas, y queda:
θ = θ1 - θ2 = 150° - 45° = 105°.
Espero haberte ayudado.
Buenos días. Tengo una duda sobre matrices. ¿ Por qué al dividir A(equivalente a la inversa) A multiplica delante de (b-c) y no detras. (b-c)A^-1
Primero de todo recuerda que la multiplicación de matrices no tiene la propiedad conmutativa pero si la asociativa:
A * B no es igual a B * A
en cambio A * (B * C) = (A * B) * C
Para poder pasar la matriz A al otro lado hay que multiplicarla por su inversa, como bien dices.
SI te fijas, en la parte izquierda de la igualdad, la matriz A se encuentra a la izquierda del producto con X.
Entonces para poder "eliminar" A, hay que multiplicarla por su izquierda, o por delante, como tu dices.
Ej: A*B -> A⁻¹ * A * B = Id * B = B
Como hemos multiplicado por delante, para mantener la igualdad también hay que multiplicar por delante en el otro lado del signo igual:
A * X = B - C --> A⁻¹ * A * X = A⁻¹ * (B - C) --> X = A⁻¹ * (B - C)
Si fuera X * A = B - C , entonces:
X * A = B - C --> X * A * A⁻¹ = (B - C) * A⁻¹ --> X = (B - C) * A⁻¹

Debes recordar que la multiplicación entre matrices no es conmutativa, por lo que debes plantear la multiplicación en ambos miembros de una ecuación por la matriz inversa de A "por la derecha" o "por la izquierda" según corresponda en cada caso.
Tienes la ecuación matricial:
A*X - B + C = O, haces pasajes de términos, y queda:
A*X = B - C, multiplicas por A-1 por la izquierda en ambos miembros, y queda:
A-1*(A*X) = A-1*(B - C), aplicas la propiedad asociativa de la multiplicación de matrices en el primer miembro, y queda:
(A-1*A)*X = A-1*(B - C), resuelves el producto entre matrices inversas entre sí en el primer miembro, y queda:
I*X = A-1*(B - C), aplicas la propiedad del elemento neutro de la multiplicación de matrices en el primer miembro, y queda:
X = A-1*(B - C);
y observa que no hubiese sido posible aplicar algunas propiedades si hubiésemos aplicado el producto por la derecha en el primer paso.
Espero haberte ayudado.
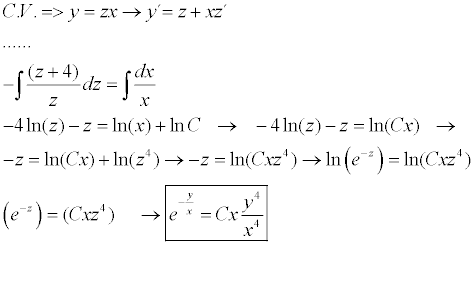
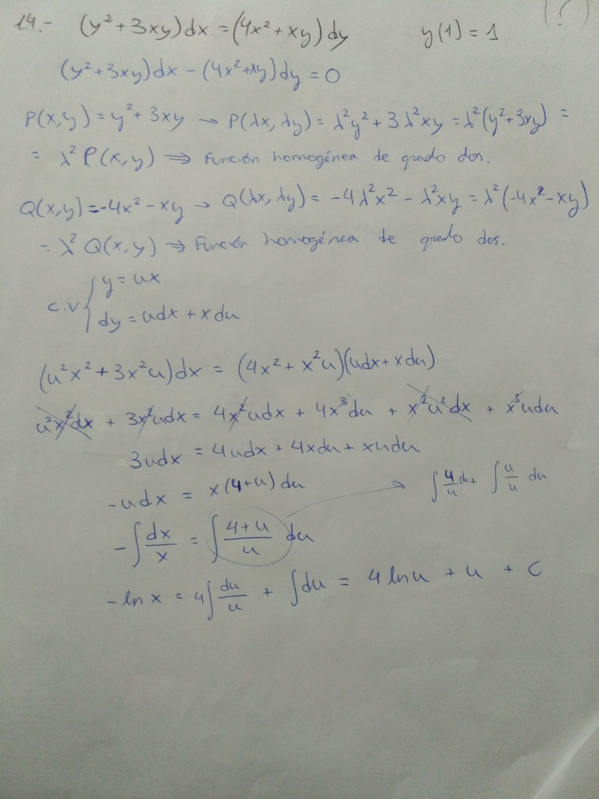
Buenos días. Haciendo un ejercicio de edo homogénea he llegado al final y solo he obtenido logaritmos en algunos elementos, y no puedo simplificar. ¿Qué fallo he cometido? Gracias

Por lo que yo puedo apreciar, has planteado y resuelto el problema en forma correcta, y has obtenido una expresión implícita de la solución general de la ecuación diferenicial:
-lnx = 4lnu + u + C, luego sustituyes la expresión de la variable auxiliar (u = y/x), y queda:
-lnx = 4ln(y/x) + y/x + C.
Y observa que en esta expresión no es posible (o, al menos, no es nada sencillo), despejar una de las variables en función de la otra, por lo que no podemos obtener una solución general en forma explícita.
Espero haberte ayudado.
Buenos días, soy nueva por aquí estoy aprendiendo hacer funciones, el problema que he visto los vídeos de funciones afín y cuando acabe de ver los dos vídeos me salto a un examen no hay mas ejercicios donde pueda verlos paso a paso para poder practicar es que necesito aprenderme todas las funciones hasta 4 de eso.. pero empece por el principio.
un saludo.
Hoy no posteo dudas de ejercicios, hoy posteo un agradecimiento a todos los profes de unicoos y a ustedes compañeros que mediante las dudas que me han solventado aqui sobre probabilidades y estadisticas, ayer pude aprobar el examen final de dicha materia. Muchas gracias a todos!

Muchísimas gracias :D, Hahaha por andar estudiando no andaba respondiendo dudas del foro pero si posteaba mis dudas...finalmente me tocó un ejercicio de minimos cuadrados xD, pero era extremadamente fácil, solo me daban los valores que formaban parte de las ecuaciones para calcular la pendiente y la ordenada de la recta de regresión, era cuestión de reemplazar nada más, el otro era un contraste de hipótesis unilateral. Calificación en el exámen práctico: 9(nueve)
En el exámen teórico me hizo deducir ecuaciones de la mediana y el modo para datos agrupados y no agrupados, eso me llevó más tiempo..sumado a que me hizo preguntas multiple choice de probabilidad tales como ¿cual de estas características se asocia a los sucesos excluyentes?
Calificación en el exámen teórico: 8(ocho)
Ya sé, amigo Facu jaja
Ni en la Universidad ni casi en ningún estudio (excepto en tu futuro trabajo, con suerte) se te valorará que, por ejemplo en este caso seas experto en regresiones, predicciones reales (que es lo que vas después de la estadística introductoria), etc...
Para ir a por notas tienes que abarcar muchos conceptos (TODOS los del libro base que utilices), pero no se te exigirá una comprensión muy alta del tema; de todas formas seguro que no fue tiempo perdido al hacer los ejercicios, en el futuro (aunque no sepas cuándo) fijo que te viene bien haber trabajado "más de lo debido"....por lo pronto te llevas una buena nota y el relax de que el examen te pareciera fácil :D
Hola buenas tardes queria saber si el ejercicio esta bueno
no se si ¿necesitaba poner que el infinito tendia a la izquierda o solo con ponerle el negativo es suficiente para inferirlo?
Quisiera saber cualquier detalle que me falte . Muchas gracias de antemano.

Debes hacer ajustes formales en tu desarrollo.
Has planteado correctamente la integral impropia, y te ha quedado.
I = Lïm(b→-∞) (e - eb) =
aplicas la sustitución (cambio de variable): b = -w (observa que w tiende a +infinito en este caso), y queda:
= Lïm(w→+∞) (e - e-w) =
= Lïm(w→+∞) (e - 1/ew) =
observa que el numerador en el segundo término es constante y que el denominador tiende a + infinito, resuelves, y queda:
= e - 0 = e.
Espero haberte ayudado.
Hola, estoy trabado con la funcion generatriz de momentos, en la imagen que adjunto, de donde viene el -(3-t)x que hay en el numerador? Se agradece ayuda.![]()
Gracias

Vamos con una orientación para la resolución de la integral.
Tienes la integral:
I = ∫ 3e-(3-t)x*dx = 3 * ∫ e-(3-t)*x*dx;
luego, planteas la sustitución (cambio de variable):
w = -(3-t)*x (1), de donde tienes:
dw = -(3-t)*dx, haces pasajes de términos, y queda: (3-t)*dx = -dw, haces pasaje de factor como divisor, y queda: dx = -dw/(3-t);
luego sustituyes, y la integral queda:
I = 3 * ∫ ew*( -dw/(3-t) ), extraes factor y divisor constante, y queda:
I = ( -3/(3-t) ) * ∫ ew*dw, resuelves (indicamos con corchetes que debes evaluar con Regla de Barrow), y queda: = ( -3/(3-t) ) * [ ew ];
I = ( -3/(3-t) ) * [ ew ]; sustituyes la expresión señalada (1), y queda:
I = ( -3/(3-t) ) * [ e-(3-t)*x ] = ( -3/(3-t) ) * [ 1/e(3-t)*x ];
luego, evalúas con Regla de Barrow entre x = 0 y x = b, y queda:
I = ( -3/(3-t) ) * ( 1/e(3-t)*b - 1 );
luego, planteas el límite para b tendiendo a +infinito, y queda:
I = Lím(b→+∞) ( -3/(3-t) ) * ( 1/e(3-t)*b - 1 ) = ( -3/(3-t) ) * ( 0 -1) = 3/(3-t);
luego, puedes expresar el resultado en función de su inverso multiplicativo, y queda:
I = ( (3-t)/3 )-1 = ( 3/3 - t/3 )-1 = ( 1 - t/3)-1.
Espero haberte ayudado.
¿En qué se diferencia una derivada de un limite o función y cómo puedo detectar cuando debo de usar derivadas?

son tres cosas distintas
Función: es algo que te da valores. Por ejemplo la funcion y=x^2, si x=1 la función te dará el valor de 1, si x=2 la y te dará el valor de 4 y así sucesivamente. Una función es lo que se puede graficar poniendo los distintos puntos de la función (x=1,y=1) , (x=2,y=4)
Límite: Es hacer tender una función a algo. Por ejemplo el límite cuando x tiende a 2 de y=x^2 será por ejemplo 3.999 (ya que x será como 1.999)
Derivada: Es la relación de cambio que hay entre la y y la x , es la pendiente que va teniendo la gráfica función en cada punto. Las derivadas las puedes usar cuando te pidan por ejemplo el valor mínimo de y=x^2, harías la derivada y la igualarías a cero
Hola alguien sabría decirme cuál es la 1 derivada de esta función por el método de la derivación logarítmica![]()
f(x)=((senx)/x)sen2x
Ln(f(x))=Ln((senx)/x)sen2x
Ln(f(x))=sen2x*Ln((senx)/x)
(f´(x))/(f(x))=2cos2x*Ln((senx)/x) + sen2x*(1/((senx)/x))*((xcosx-senx)/x2)
f´(x)=(2cos2x*Ln((senx)/x) + sen2x*(1/((senx)/x))*((xcosx-senx)/x2))*f(x)
f´(x)=(2cos2x*Ln((senx)/x) + sen2x*(1/((senx)/x))*((xcosx-senx)/x2))*(((senx)/x)sen2x)