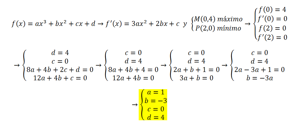
Buenas tardes, no sé como resolver el ejercicio 3. Con el punto M he averiguado que d=4, y luego con el punto P he sustituido en f´(x)=3ax2 + 2bx +c y me queda que 12a+4b+c=0 ecuación 1. Y ahí me he quedado. Gracias de antemano por la ayuda
Hola Unicoos
No entiendo por qué en el enunciado (b) se plantea así. No sé por qué suma (x+y) y lo divide entre 13 y por qué divide a (z) entre 3. Yo la había multiplicado .
Me lo podrían explicar?
Muchas gracias

Observa que (x+y) expresa la cantidad de espectadores asociados, y que (x+y)/13 expresa la cantidad de grupos de 13 espectadores no asociados que hay en el estadio.
Observa que z expresa la cantidad de espectadores no asociados, y que z/3 expresa la cantidad de grupos de 3 espectadores no asociados que hay en el estadio.
Luego, tienes la razón entre las cantidades de espectadores asociados y no asociados:
13/3 como te indican en el enunciado, y (x+y)/z como puedes plantear con las expresiones que hemos determinado en los dos pasos anteriores.
Luego, como las razones son iguales, puedes plantear la ecuación:
(x+y)/z = 13/3, haces pasajes de divisores como factores, y queda:
3(x+y) = 13z, haces pasajes de factores numéricos como divisores, y queda:
(x+y)/13 = z/3.
Espero haberte ayudado.
Hola Unicoos
Cómo opero las expresiones de la izquierda hasta simplificarlas y dejarlas como en la derecha?
Muchas gracias

Puedes multiplicar por 3 en todos los términos de la primera ecuación, y queda:
3A - A = 3B + A, haces pasaje de término, y queda:
3A - A - A = 3B, reduces términos semejantes, y queda:
A = 3B, multiplicas en ambos miembros de la ecuación por 1/3, y queda:
(1/3)A = B (1).
Puedes multiplicar por 3 en todos los términos de la tercera ecuación, y queda:
3A - A = 3C, reduces términos semejantes, y queda:
2A = 3C, multiplicas en ambos miembros por 1/3, y queda:
(2/3)A = C (2).
Luego, tienes la segunda ecuación.
A + B + C = 60, sustituyes las expresiones señaladas (1) (2), y queda:
A + (1/3)A + (2/3)A = 60, multiplicas por 3 en todos los términos de la ecuación, y queda:
3A + A + 2A = 180, reduces términos semejantes, y queda.
6A = 180, multiplicas por 1/6 en ambos miembros, y queda:
A = 30;
luego, reemplazas el valor remarcado en las ecuaciones señalada (1) (2), resuelves, y queda:
10 = B,
20 = C.
Espero haberte ayudado.
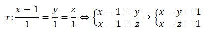
Buenas tardes, por favor necesito ayuda con este ejercicio:
El punto donde se cortan esta recta y el plano es la solución del sistema:
Resolvemos por Gauss:
De donde:
El punto M(2, 1, 1) es el punto medio del segmento AA’, se tiene pues:
Por lo tanto: A’ (3,2,2)

Vamos con una orientación.
Comienza por separar en términos en el argumento del límite, y queda:
f(x) = x4*cosx/(1+x5) + senx/(1+x5).
Luego, extrae factor común en el denominador del primer término, y queda:
f(x) = x4*cosx / x5*(1/x5+1) + senx/(1+x5).
Luego, simplificas en el primer término, y queda:
f(x) = cosx / x*(1/x5+1) + senx/(1+x5).
Luego, puedes tomar el límite término a término, y observa:
que en los numeradores tienes las expresiones de funciones continuas y acotadas entre -1 y 1, y
que en los denominadores tienes expresiones de funciones que tienden a +infinito;
por lo que puedes concluir que el límite es igual a cero.
Espero haberte ayudado.
Hola Unicoos
Por qué en el apartado a) multiplica a los vectores por x e y, y además iguala los vectores a 0 para ver si son linealmente independientes?
Me lo podrían explicar?
Muchas gracias

Recuerda que para analizar la dependencia o independencia lineal entre dos vectores u y v, planteamos:
x*u + y*v = O (1),
donde x e y son números reales y O es el vector nulo.
Luego, puedes tener dos opciones:
a)
Si x o y son distintos de cero, entonces los vectores son linealmente dependientes;
b)
Si x = 0 e y = 0, entonces los vectores son linealmente independientes.
Luego, tienes en tu ejercicio:
u = <2,-1,0>, v = <3,2,-1>.
a)
Planteas la ecuación vectorial señalada (1), y queda:
x<2,-1,0> + y<3,2,-1> = <0,0,0>, resuelves los productos en cada término, y queda:
<2x,-x,0> + <3y,2y,-y> = <0,0,0>, resuelves la suma vectorial, y queda:
<2x+3y,-x+2y,-y> = <0,0,0>;
luego, por igualdad entre vectores, igualas componente a componente, y queda el sistema de ecuaciones:
2x + 3y = 0,
-x + 2y = 0,
-y = 0, aquí multiplicas por -1 en ambos miembros, y queda: y = 0;
luego, reemplazas el valor remarcado en las dos primeras ecuaciones, y queda:
2x = 0, aquí haces pasaje de factor como divisor, y queda: x = 0,
-x = 0, multiplicas en ambos miembros por -1, y también queda: x = 0;
por lo tanto, tienes que los vectores u y v son linealmente independientes.
b)
Recuerda que el espacio vectorial R3 tiene dimensión 3, por lo que una base de este espacio vectorial debe tener tres vectores linealmente independientes como elementos;
por lo tanto, tienes que el conjunto {u,v} no es una base de R3.
c)
Tienes la ecuación vectorial:
2u + 3w = (1/2)v, multiplicas por 2 en todos los términos de la ecuación, y queda:
4u + 6w = v, haces pasaje de término, y queda:
6w = v - 4u, multiplicas por 1/6 en todos los términos de la ecuación, y queda:
w = (1/6)v - (2/3)u;
luego, reemplazas las expresiones de los vectores, y queda:
w = (1/6)<3,2,-1> - (2/3)<2,-1,0>, resuelves los productos en los términos, y queda:
w = <1/2,1/3,-1/6> - <4/3,-2/3,0>, sumas componente a componente, y queda:
w =<1/2-4/3,1/3-(-2/3),-1/6-0>, resuelves las componentes, y queda:
w = <-5/6,1,-1/6>.
Espero haberte ayudado.
Holaaa, me piden calcular los polinomios de Taylor de primer y segundo grado de f(x) = e-x^2-y^2 en (0,0).
¿Para hallar la de grado 1 solo se calcula hasta el (x-a) antes del 1/2 no? Gracias

La expresión desarrollada del Polinomio de Taylor de grado dos, con centro de desarrollo en el punto (a,b) es:
P2(x,y) = f(a,b) + fx(a,b)*(x-a) + fy(a,b)*(y-b) + (1/2)*( fxx(a,b)*(x-a)2 + 2*fxy(a,b)*(x-a)*(y-a) + fyy(a,b)*(y-b)2 ),
y los términos remarcados conforma la expresión del Polinomio de Taylor de grado uno.
Luego, para el centro de desarrollo (0,0), la expresión queda:
P2(x,y) = f(0,0) + fx(0,0)*x + fy(0,0)*y + (1/2)*( fxx(0,0)*x2 + 2*fxy(0,0)*x*y + fyy(0,0)*y2 ),
y los términos remarcados conforma la expresión del Polinomio de Taylor de grado uno.
Luego, planteas las expresiones de la función y de sus derivadas parciales primeras y segundas, las evalúas, y queda:
f(x,y) = e-x^2-y^2, que evaluada en el centro de desarrollo queda: f(0,0) = 1;
fx(x,y) = -2x*e-x^2-y^2, que evaluada en el centro de desarrollo queda: fx(0,0) = 0,
fy(x,y) = -2y*e-x^2-y^2, que evaluada en el centro de desarrollo queda: fy(0,0) = 0;
fxx(x,y) = -2*e-x^2-y^2 + 4x2*e-x^2-y^2, que evaluada en el centro de desarrollo queda: fxx(0,0) = -2,
fxy(x,y) = fyx(x,y) = 4x*y*e-x^2-y^2, que evaluada en el centro de desarrollo queda: fxy(0,0) = fyx(0,0) = 0,
fyy(x,y) = -2*e-x^2-y^2 + 4y2*e-x^2-y^2, que evaluada en el centro de desarrollo queda: fyy(0,0) = -2.
Luego, reemplazas valores en la expresión remarcada, cancelas términos nulos, y el Polinomio de Taylor de grado uno con centro de desarrollo (0,0) queda:
P1(x,y) = 1.
Luego, reemplazas valores en la expresión del Polinomio de Taylor de grado dos, cancelas términos nulos, y queda:
P2(x,y) = 1 + (1/2)*( -2*x2 - 2*y2 ),
distribuyes en el segundo término, y queda:
P2(x,y) = 1 - x2 - y2,
que es la expresión del Polinomio de Taylor de grado dos, con centro de desarrollo (0,0).
Espero haberte ayudado.