buenas tardes,¿ tenéis algún video de Álgebra de matrices explicándolas o con algún ejemplo? el único video que he encontrado es uno de universidad, lo que busco es mas para selectividad.
un saludo y muchísimas gracias.
Hola.
Tengo un problema que dice que la siguiente frase es falsa:
"Si una función es creciente en un punto entonces su derivada es necesariamente positiva en ese punto"
¿Cómo puede ser falsa? Si es creciente, la derivada (pendiente) deberá ser positiva, si fuera negativa sería decreciente, y si fuera 0 sería un máximo o un mínimo.
Muchas gracias.
Un saludo.

Considera la función con dominio R, cuya expresión es:
f(x) =
2x si x ≤ 4,
3x - 4 si x > 4;
y observa que la función es continua y creciente en R, y que no es derivable en x = 4.
La condición que tienes en tu enunciado es verdadera solo para funciones derivables.
Espero haberte ayudado.

Hola.
La función que usted propone: (x-1)^3 es continua y derivable en x=1.
¿Por qué un compañero suyo: Antonio Silvio Palmitano, me ha dicho que la condición para que mi enunciado sea verdadero es sólo para funciones derivables?
La suya lo es, y no lo cumple.
Y por último, ¿qué significado físico tiene que la derivada sea nula y sin embargo la función sea creciente? No lo veo, porque la derivada de una función siempre me han enseñado que es la pendiente de dicha función en cualquier punto de la misma.
Muchas gracias. Siento haber preguntado otra vez, pero no me ha quedado muy claro.
Un saludo.

Tienes un total de 60 pinturas en total.
Tienes 0,10*60 = 6 pinturas amarillas.
Tienes 5 pinturas de color azul.
Tienes 60 - 6 - 5 = 49 pinturas de otros colores.
a)
Puedes denominar con u a la cantidad de pinturas de otros colores que debes retirar, y observa que (60 - u) expresa la cantidad total de pinturas que quedan, y que el porcentaje de pinturas amarillas queda expresado: 6*100/(60 - u).
Luego, igualas las expresiones del porcentaje de pinturas amarillas, y queda:
6*100/(60 - u) = 12, haces pasaje de divisor como factor, y queda:
600 = 12*(60 - u), distribuyes el segundo miembro, haces pasaje de término, y queda:
12*u = 120, haces pasaje de factor como divisor, y queda:
u = 10;
y observa que tienes 6 pinturas amarillas y 50 de otros colores, y que el porcentaje es: 6*100/50 = 12.
b)
Puedes denominar con x a la cantidad de pinturas de otros colores que debes retirar, y observa que x es la expresión del porcentaje de pinturas de color azul que debe quedar, y que el total de pinturas que quedan en el estuche es: 60 - x.
Luego, puedes plantear el porcentaje de pinturas azules también en la forma: 5*100/(60 - x);
luego, igualas las expresiones del porcentaje de pinturas azules, y queda la ecuación:
x = 5*100/(60 -x), haces pasaje de divisor como factor, y queda:
x*(60 - x) = 500, distribuyes en el primer miembro, haces pasaje de término, reduces términos semejantes, y queda:
60*x - x2 = 500, haces pasaje de término, ordenas términos, y queda:
-x2 + 60*x - 500 = 0, multiplicas por -1 en todos los términos de la ecuación, y queda:
x2 - 60*x + 500 = 0,
que es una ecuación polinómica cuadrática, cuyas soluciones son:
1)
x = 10,
y observa que tienes 5 pinturas azules y 50 pinturas en total, por lo que el porcentaje es: 5*100/50 = 10;
2)
x = 50,
y observa que tienes 5 pinturas azules y 10 pinturas en total, por lo que el porcentaje es: 5*100/10 = 50.
Espero haberte ayudado.

Puedes plantear las coordenadas del punto de corte entre la recta r y la recta r1: A(0,a,1),
con su segunda coordenada (a) a determinar.
Puedes plantear las coordenadas del punto de corte entre la recta r y la recta r2: B(2b-3,1,b),
con su primera coordenada (2b-3) y su tercera coordenada (b) a determinar;
y observa que el vector: w = AB = <2b-3,1-a,b-1> es un vector director de la recta r.
Luego, ordenas las ecuaciones cartesianas simétricas de la recta s, y quedan:
x/1 = y/(-1) = z/1, tienes que un vector director de la recta s es: u = <1,-1,1> y,
como la recta r y la recta s son paralelas, tienes que este vector también es director de la recta r.
Luego, como el vector w y el vector u son directores de la recta r, tienes que son paralelos y que uno de ellos el múltiplo del otro, por lo que puedes plantear:
w = k*u, sustituyes expresiones, y queda:
<2b-3,1-a,b-1> = k*<1,-1,1>, resuelves el segundo miembro, y queda:
<2b-3,1-a,b-1> =
2b - 3 = k,
1 - a = -k,
b - 1 = k (1);
sustituyes la expresión señalada (1) en las demás ecuaciones, y queda:
2b - 3 = b - 1, aquí haces pasajes de términos, y queda: b = 2, reemplazas en la ecuación señalada (1), y queda: 1 = k,
1 - a = k, aquí haces pasajes de términos, y queda: 1 - k = a, reemplazas el último valor remarcado, y queda: 2 = a.
Luego, reemplazas en las expresiones de los puntos de corte entre la recta r y las rectas r1 y r2, y quedan:
A(0,2,1) y B(1,1,2).
Luego, con la expresión del vector director u, y la expresión del punto A, puedes plantear las ecuaciones cartesianas simétricas (o continuas) de la recta r:
(x - 0)/1 = (y - 2)/(-1) = (z - 1)/1, cancelas términos nulos y denominadores neutros, y queda:
x = (y - 2)/(-1) = z - 1.
Espero haberte ayudado.
Calcula por integración doble el area del recinto limitado por una circunferencia de centro (0,a) y radio a.
x² + y² = a ---> f(x,y) = z = a - x² - y²
¿Sería ésta la integral que hay que calcular ∫∫ (a - x² - y² )dydx entre (0,a) para dy y (0,0) para dx? Gracias :)

¡Hola! Nos encantaría ayudarte, pero no solemos responder dudas universitarias que no tengan que ver específicamente con los vídeos que David Calle ha grabado como excepción. O de otras asignaturas que no sean Matemáticas, Física y Química. Lo sentimos de corazón… Esperamos que lo entiendas.
Ojalá algún unicoo universitario se anime a ayudarte (de hecho, lo ideal es que todos los universitarios intentarais ayudaros los unos a los otros).

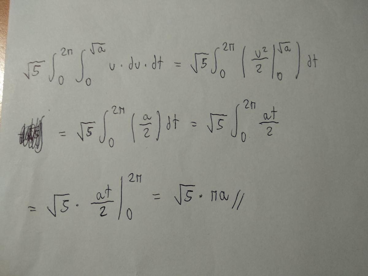
Tienes una superficie que es un trozo de paraboloide de eje OZ, con vértice en el punto (0,0,a),
limitada por un cilindro circular recto de eje OZ y radio √(a),
y observa que el eje OZ es un eje de simetría de la superficie.
Puedes parametrizar la superficie:
x = u*cost,
y = u*sent,
z = a - (u*cost)2 - (u*sent)2 = a - u2,
con los intervalos paramétricos: 0 ≤ u ≤ √(a) y 0 ≤ θ ≤ 2π (1).
Luego, planteas la expresión de la función vectorial de posición de los puntos de la superficie, y queda:
R(u,t) = < u*cost , u*sent , a - u2 >,
cuyas funciones derivadas parciales quedan expresadas:
Ru = < cost , sent , -2u >,
Rt = < -u*sent , u*cost , 0 >;
y un vector normal a la superficie queda expresado:
Ru x Rt = < 2u*cost , 2u*sent , u >,
y cuyo módulo tiene la expresión:
|Ru x Rt| = √( (2u*cost)2 + (2u*sent)2 + u2 ) = √(4u2 + u2) = √(5u2) = √(5)u;
luego, puedes plantear la expresión del área de la superficie:
A = ∫∫S 1*dS = ∫∫R 1*|Ru x Rt|*du*dt = ∫∫R √(5)u*du*dt = √(5) ∫∫R u*du*dt = puedes continuar la tarea,
y observa que debes resolver la integral doble con los intervalos paramétricos señalados (1).
Espero haberte ayudado.