hola tengo un problema que no puedo resolver:
∫1 8 √(1+x-2/3 )
creí que se podía resolver por sustituciones trigonométricas pero no puedo hacerlo. Por favor ayuda

¡Hola! Nos encantaría ayudarte, pero no solemos responder dudas universitarias que no tengan que ver específicamente con los vídeos que David Calle ha grabado como excepción. O de otras asignaturas que no sean Matemáticas, Física y Química. Lo sentimos de corazón… Esperamos que lo entiendas.
Ojalá algún unicoo universitario se anime a ayudarte (de hecho, lo ideal es que todos los universitarios intentarais ayudaros los unos a los otros).
Buenos dias, en mates estamos dando cinematica, diferenciales de velocidad y tiempo para calculo de aceleracion por ejemplo
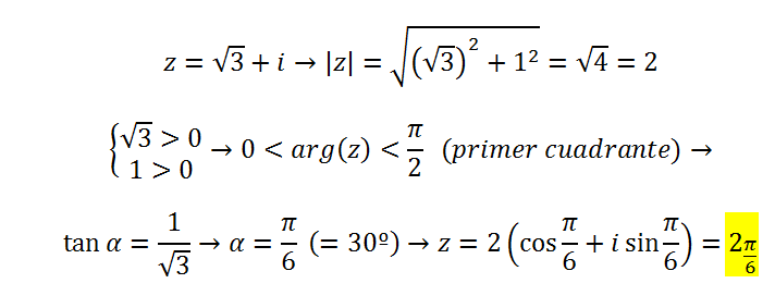
y numeros complejos
alguien sabe donde estan estos videos? ... he mirado por todo mates y no los encuentro
gracias,
como resuelvo esta ecuacion trigonometrica? Gracias de antemano
sen (3x/2 + 45) = 0

Recuerda que la función seno toma el valor cero cuando su argumento es múltiplo entero de 180°, por lo tanto puedes plantear:
3x/2 + 45° = 180°*k, con k ∈ Z;
luego, multiplicas por 2/3 en todos los términos de la ecuación, y queda:
x + 30° = 120°*k, con k ∈ Z;
luego, haces pasaje de término, y queda:
x = 120°*k - 30°, con k ∈ Z;
luego, a modo de ejemplo, evalúas para algunos valores del parámetro k (por ejemplo: -3, -2, -1, 0, 1, 2, 3), y tienes los valores:
-390°, -270°, -150°, -30°, 90°, 210°, 330°.
Espero haberte ayudado.