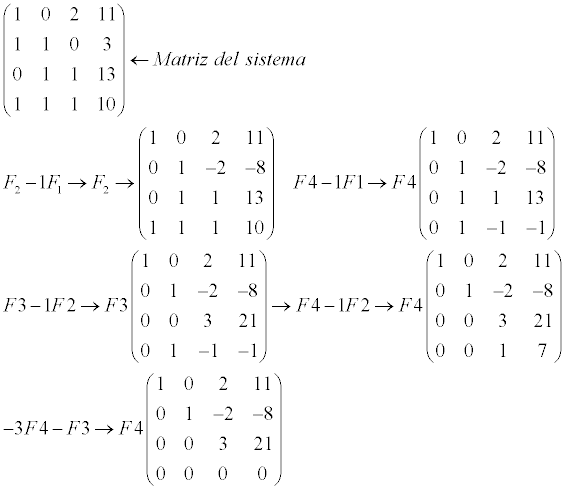
Hola como están? tengo una consulta con el siguiente ejercicio , me preguntan sobre formulas para las ecuaciones de 3 grado en adelante, a parte de Ruffini encontré el método de Leins vangh pero es sólo para polinomios de 3er grado. Si alguien me podía ayudar en donde buscar se lo agradecería Es el ejercicio 3 . Saludos. :)
Disculpen por enviar la imagen así, pero tengo problemas de conexión. 

Si consideras que estás trabajando en el espacio (R3), tienes:
a) es Verdadera, porque la relación "paralelismo" entre rectas es transitiva: si r1 ||r2 y r2||r3 entonces r1||r3;
b) es Falsa, por ejemplo el eje OX y el eje OY no son rectas paralelas, pero ambas son perpendiculares al eje OZ;
c) es Verdadera, porque la relación "paralelismo" entre planos es transitiva: si π1 ||π2 y π2||π3 entonces π1||π3;
d) es Falsa, por ejemplo el plano OXZ y el plano OYZ no son paralelos, pero ambos son perpendiculares al plano OXY;
e) es Falsa, por ejemplo las dos rectas bisectrices del plano OXY no son paralelas entre si, pero ambas son paralelas al plano paralelo al plano OXY que pasa por el punto (0,0,1);
f) es Verdadera, ya que las dos rectas tienen al vector normal al plano como uno de sus vectores directores, por lo que las rectas son paralelas y hasta pueden ser coincidentes;
g) es Falsa, por ejemplo el plano paralelo al plano OXZ que pasa por el punto (0,1,0) es paralelo al eje OX, el plano paralelo al plano OYZ que pasa por (0,0,1) es paralelo al eje OX, y tienes que dichos planos no son paralelos;
h) es Verdadera, ya que el vector director de la recta también es un vector normal para ambos planos, por lo que éstos son paralelos y hasta pueden ser coincidentes;
i) es Verdadera, y puedes visualizarlo con el planteo de su intersección con el sistema formado por las ecuaciones de los dos planos, que tiene tres incógnitas, y por lo tanto puede ser compatible indeterminado (en este caso tendrías planos secantes o coincidentes) o incompatible (en este caso tendrías planos paralelos);
j) es Falsa, por ejemplo el eje OX y la recta paralela al eje OY que pasa por (0,0,1) no son paralelas y tampoco se cortan (en este caso se trata de rectas alabeadas);
k) es Verdadera, y puedes visualizarlo con el planteo de su intersección con el sistema formado por dos de las ecuaciones simétricas (o continuas) de la recta y con la ecuación del plano, que tiene tres ecuaciones y tres incógnitas, por lo que puede ser compatible determinado (en este caso la recta y el plano se cortan en un punto), compatible indeterminado (en este caso la recta está incluida en el plano y comparte todos sus puntos con él), o incompatible (en este caso la recta es paralela al plano, y no lo corta).
Espero haberte ayudado.
El otro dia les pregunte una muy parecida, quiero saber si esta la he hecho bien para saber si lo he entendido.
Es la b?
Buenas noches. No se cómo hacer el ejercicio 4 sobre bases ortogonales/ortonormales. Lo he intentado y no se cómo hacerlo. ![]()

¡Hola! Nos encantaría ayudarte, pero no solemos responder dudas universitarias que no tengan que ver específicamente con los vídeos que David Calle ha grabado como excepción. O de otras asignaturas que no sean Matemáticas, Física y Química. Lo sentimos de corazón… Esperamos que lo entiendas.
Ojalá algún unicoo universitario se anime a ayudarte (de hecho, lo ideal es que todos los universitarios intentarais ayudaros los unos a los otros).