Buenos días, estoy repasando para mi examen de números complejos del próximo miércoles, y me he topado con este problema que no sé cómo resolver. El enunciado dice así:
Halla dos números complejos tales que su cociente sea 3, la suma de sus argumentos sea 60 grados y la suma de sus módulos sea 8.
Si alguien sabe resolverlo agradecería mucho su ayuda.
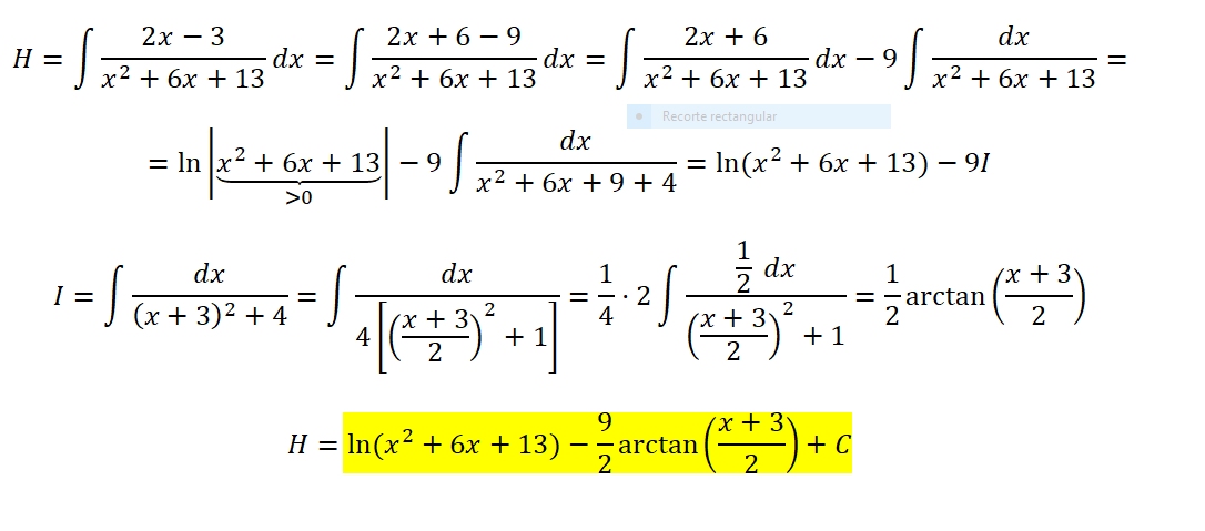
Hola, me podríais ayudar con la integral racional indefinida ∫2x-3/x2 +6x +13 La ecuación de segundo grado no tiene solución real, así que he intentado hacer que el numerador fuera la derivada del denominador pero no lo consigo. Gracias.
Me podéis contestar,? https://www.unicoos.com/discusion/173386#preg173386

14c)
Comienza por separar en dos ecuaciones a las ecuaciones cartesianas simétricas (o continuas) de la recta s, para ello igualas el primer miembro con el segundo, igualas el primer miembro con el tercero, cancelas denominadores unitarios, y queda el sistema de dos ecuaciones con tres incógnitas:
x = (y - 1)/2, aquí haces pasaje de divisor como factor, y queda: 2*x = y - 1 (1),
x = z + 2 (2);
luego, sustituyes las expresiones de las ecuaciones cartesianas paramétricas de la recta r en las ecuaciones señaladas (1) (2), y queda el sistema de dos ecuaciones con una incógnita:
2*λ = 2+λ - 1, aquí haces pasaje de término, reduces términos semejantes, y queda: λ = 1 (3),
λ = -λ + 2, aquí reemplazas el valor señalado (3), resuelves el segundo miembro, y queda: 1 = 1,
que es una identidad verdadera, por lo que tienes que el valor señalado (3) es la solución del sistema de ecuaciones;
luego, reemplazas el valor señalado (3) en las ecuaciones cartesianas paramétricas de la recta r, resuelves sus segundos miembros, y queda:
x = 1,
y = 3,
z = -1,
por lo que tienes que el punto de intersección entre las rectas r y s es: A(1,3,-1);
luego, a fin de verificar, reemplazas las coordenadas del punto A en las ecuaciones cartesianas simétricas (o continuas) de la recta s, resuelves el numerador en el segundo miembro, y queda:
1 = 1 = 1, que es una doble identidad verdadera.
Espero haberte ayudado.