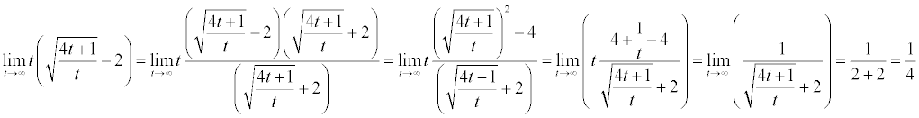
Buenas noches. ¿Me explicarían cómo resolver este límite sin hacer uso de L'Hôpital? No comprendo. Gracias.

Completamos.
Observa el último límite que tienes en el desarrollo del colega César, y vamos con su justificación:
(1/3)*Lím(x→1) sen(π*x)/(x - 1) =
planteas la sustitución (cambio de variable): w = x - 1 (observa que w tiende a 0 cuando x tiende a 1), de donde tienes: w + 1 = x, luego sustituyes, y queda:
= (1/3)*Lím(w→0) sen( π*(w + 1) )/w =
= (1/3)*Lím(x→1) sen(π*w + π)/w =
aplicas la identidad del seno de la suma de dos ángulos en el numerador del argumento, y queda:
= (1/3)*Lím(x→1) ( sen(π*w)*cos(π) + cos(π*w)*sen(π) )/w =
= (1/3)*Lím(x→1) ( sen(π*w)*(-1) + cos(π*w)*0 )/w =
= (1/3)*Lím(x→1) ( -sen(π*w) )/w =
=-(1/3)*Lím(x→1) sen(π*w)/w =
multiplicas al numerador y al denominador del argumento por π, y queda:
= -(1/3)*Lím(x→1) π*sen(π*w)/(π*w) =
extraes el factor constante en el numerador del argumento, y queda:
= -(π/3)*Lím(x→1) sen(π*w)/(π*w) =
planteas la sustitución (cambio de variable): p = π*w (observa que p tiende a 0 cuando w tiende a 0), luego sustituyes, y queda:
= -(π/3)*Lím(p→0) sen(p)/p =
reemplazas el valor del límite (observa que es un límite trascendente que seguramente has visto en clase), y queda:
= -(π/3)*1 = -π/3.
Espero haberte ayudado.
Sean f y g derivables en R /LA Recta Normal a f en x=1 es y=2x-3 y la Recta Tangente a h(x)=g(f(x) + ex-1) en x=1 es Y= 6x+5
HALLAR LA RECTA TANGENTE AL GRAFICO DE G EN X=0

Tienes la ecuación cartesiana explícita de la recta normal a la gráfica de la función f en x0 = 1, por lo que tienes que su pendiente es igual a 2,
y puedes calcular el valor de la ordenada del punto de contacto a partir de la ecuación de la recta normal; y0 = 2*x0 - 3,
reemplazas, resuelves, y queda: y0 = -1, por lo que el punto de contacto entre la gráfica de la función f y la recta normal es: A(1,-1),
y como el punto de contacto pertenece a la gráfica de la función f, tienes también:
f(1) = - 1 (1);
luego, puedes plantear la relación entre la pendiente de la recta normal y el valor de la función derivada en el punto de contacto:
mNf = -1 / f ' (x0), reemplazas valores, y queda:
2 = -1 / f ' (1), haces pasaje de divisor como factor, y de factor como divisor, y queda:
f ' (1) = -1/2 (2).
Tienes la ecuación cartesiana explícita de la recta tangente a la gráfica de la función h en x0 = 1, por lo que tienes que su pendiente es igual a 6;
luego, puedes plantear la relación entre la pendiente de la recta tangente y el valor de la función derivada en el punto de contacto:
h ' (x0) = mTh, reemplazas valores, y queda:
h ' (1) = 6 (3).
Luego, tienes la expresión de la función h:
h(x) = g( f(x) + ex-1 ) (4),
y observa que tienes una suma de funciones compuesta con la función g;
luego derivas (observa que debes aplicar la Regla de la Cadena, y queda:
h ' (x) = g ' ( f(x) + ex-1 )*( f ' (x) + ex-1*1 );
luego, evalúas para x0 = 1, y queda:
h ' (1) = g ' ( f(1) + e1-1 )*( f ' (1) + e1-1*1 );
resuelves expresiones numéricas, y queda:
h ' (1) = g ' ( f(1) + 1 )*( f ' (1) + 1 ) (5);
luego, observa que las expresiones señaladas (5) (3) son iguales, por lo que puedes plantear la ecuación:
g ' ( f(1) + 1 )*( f ' (1) + 1 ) = 6,
reemplazas los valores señalados (1) (2), y queda:
g ' ( -1 + 1 )*( -1/2 + 1 ) = 6,
resuelves operaciones numéricas, y queda:
g ' (0)*(1/2) = 6,
multiplicas en ambos miembros por 2, y queda:
g ' (0) = 12,
luego, planteas la condición de tangencia de la gráfica de la función g en el punto de abscisa: x1 = 0, y queda:
mTg = 12 (6),
que es la pendiente de la recta tangente correspondiente;
luego, reemplazas el valor x0 = 1 en la ecuación señalada (4), y queda:
h(1) = g( f(1) + e1-1 ), resuelves el segundo término en el agrupamiento, y queda:
h(1) = g( f(1) + 1 ), reemplazas el valor señalado (1), y queda:
h(1) = g(-1 + 1), resuelves el argumento, y queda:
h(1) = g(0) (7);
luego, como el punto de contacto de la gráfica de la función h con su recta tangente en x0 = 1 pertenece a dicha gráfica,
puedes plantear para el valor de la función h en el punto de contacto:
h(1) = 6*1 + 5, resuelves y queda:
h(1) = 11 (8);
luego, igualas las expresiones señaladas (7) (8), y queda:
g(0) = 11 (9),
que es la ordenada del punto de contacto entre la gráfica de la función g y su recta tangente en x1 = 0,
y el punto de contacto queda expresado: B(0,11) (10);
luego, a partir del valor remarcado y señalado (6) y con las coordenadas del punto remarcado y señaado (10), puedes plantear la ecuación cartesiana punto-pendiente de la
recta tangente a la gráfica de la función g en x1 = 0:
y - 11 = 12*(x - 0),
distribuyes, cancelas el término nulo haces pasaje de término, y queda:
y = 12*x + 11,
que es la ecuación cartesiana explícita de la recta que piden en tu enunciado.
Espero haberte ayudado.
Alguien me podría decir porque en el apartedo A) el resultado es e^10 y en el apartado B) el resultado es e^-2. Es que tengo todo el procedimiento bien hasta el último paso.
lim (x→∞) ( (6/(3x-1))*(5x-3) ) =
lim (x→∞) ( (6*(5x-3))/(3x-1) )=
lim (x→∞) ( (30x-18)/(3x-1) )= ∞/∞ = indeterminación
Método algebraico
lim (x→∞) ( ((30x-18)/x)/((3x-1)/x) )=
lim (x→∞) ( (30x/x - 18/x)/(3x/x- 1/x) )=
lim (x→∞) ( (30x/x - 18/x)/(3x/x- 1/x) )=
lim (x→∞) ( (30- 18/x)/(3- 1/x) )=
(30- 18/∞)/(3- 1/∞) =
(30- 0)/(3- 0) =
30/3=
10
--------------------------------------------------
- Podemos usar un "truco" apoyándonos en la teoría, que dice que si tenemos una indeterminación del tipo ∞/∞ :
*Si el grado de la equis de mayor grado del numerador es menor que la equis de mayor grado del denominador, entonces ese límite tiende a cero.
*Si el grado de la equis de mayor grado del numerador es igual que la equis de mayor grado del denominador, entonces ese límite tiende al cociente de los coeficientes de la equis de mayor grado.
*Si el grado de la equis de mayor grado del numerador es mayor que la equis de mayor grado del denominador, entonces ese límite tiende a ∞.
Aplicamos lo remarcado en negrita a nuestro límite con el mismo grado en el numerador que el denominador:
lim (x→∞) ( (30x-18)/(3x-1) )= 30/3 = 10
--------------------------------------------------
Pregunta a tu profesor qué método es el que prefiere para aplicarlo a los límites con base número e, yo creo que en estos puedes aplicar el "truco", pero si directamente te dicen que resuelvas lim (x→∞) ( (30x-18)/(3x-1) ) sin base "e", es más adecuado (y puntuado) que lo resuelvas con álgebra.
Hola, si pudiesen resolverme una duda sobre la siguiente gráfica, se lo agradecería mucho. Simplemente quiero saber cuáles serían sus extremos relativos y si son máximos o mínimos. Muchísimas gracias.

Observa que tienes las expresiones de dos funciones polinómicas, por lo que son continuas y admiten derivadas de todos los órdenes en el conjunto de los números reales.
Luego, planteas la condición de intersección entre las gráficas de las funciones, y queda la ecuación:
f(x) = g(x), hace pasaje de término, y queda:
f(x) - g(x) = 0, sustituyes expresiones, y queda:
x3 + 2*x - (x2 - 1) = 0, distribuyes el signo en el agrupamiento, ordenas términos, y queda:
x3 - x2 + 2*x + 1 = 0.
Luego, plantea la expresión de la función:
h(x) = x3 - x2 + 2*x + 1 ( observa que tienes: h(x) = f(x) - g(x) (1) ),
cuyo dominio es el conjunto de los números reales, y observa que es continua y admite derivadas de todo orden en R;
luego, planteas los límites para x tendiendo a -infinito y a +infinito (te dejo la tarea), y queda:
Lím(x→-∞) h(x) = -∞ y Lím(x→+∞) h(x) = +∞;
luego, planteas la expresión de su función derivada primera, y queda:
h ' (x) = 3*x2 - 2*x + 2;
luego, planteas la condición de punto crítico (posible máximo o posible mínimo), y queda:
h ' (x) = 0, sustituyes la expresión de la función derivada primera en el primer miembro, y queda:
3*x2 - 2*x + 2 = 0,
que es una ecuación polinómica cuadrática que no tiene raíces reales,
por lo que tienes que la gráfica de la función h es monótona y no presenta máximos ni mínimos,
y como toma valores negativos para x tendiendo a -infinito, y toma valores positivos para x tendiendo a + infinito,
tienes que la función h es creciente en el conjunto de los números reales y, por lo tanto, corta al eje OX en un único punto.
Por lo tanto, puedes concluir que existe un único número real c tal que:
h(c) = 0, sustituyes la expresión evaluada de la función h señalada (1), y queda:
f(c) - g(c) = 0, haces pasaje de término, y queda:
f(c) = g(c),
por lo que tienes que las gráficas de las funciones f y g se cortan en un solo punto, cuya abscisa es x = c.
Espero haberte ayudado.
Amigo Antonio disculpe, si pudo trabajar con:
b. Tipos de matrices y un ejemplo.
b. Propiedades de los determinantes.
Tipos de matrices y un ejemplo
https://www.uv.mx/personal/aherrera/files/2014/08/10a.-TIPOS-DE-MATRICES-1.pdf
https://www.uam.es/personal_pdi/economicas/portega/web-algebra/capitulo-2/teoria2-7/2-7-tipos-matrices.htm
https://www.vitutor.com/algebra/matrices/tipos.html
Propiedades de los determinantes.
http://fcm.ens.uabc.mx/~matematicas/algebralineal/III%20Dets/propiedadesdets
https://www.vitutor.com/algebra/determinantes/propiedades.html