
Puedes llamar M a la masa de la roca y M1, M2, M3 a las masas de los tres pedazos.
Luego, suponemos que la roca se encontraba inicialmente en el origen de un sistema cartesiano OXY, y que los pedazos salieron expulsados con velocidades cuyos módulos, direcciones y sentidos indicamos:
M1 = 1 Kg, horizontal hacia la izquierda,
por lo que su velocidad queda expresada:
v1 = < -12 , 0 > m/s.
M2 = 2 Kg, vertical hacia la abajo,
por lo que su velocidad queda expresada:
v2 = <0 , -8 > m/s.
M3 = a determinar, inclinada un ángulo θ = a determinar con respecto al eje OX positivo,
por lo que su velocidad queda expresada:
v3 = < 40*cosθ , 40*senθ >.
Luego, plantea la relación entre las masas:
M1 + M2 + M3 = M, reemplazas valores, y queda:
1 + 2 + M3 = M, reduces términos semejantes, haces pasaje de término, y queda:
M3 = M - 3 (1) (en Kilogramos).
Luego, plantea la cantidad de movimiento inicial de la roca:
pi = M*vi = M*< 0 , 0 > = < M*0 , M*0 > = < 0 , 0 > (2).
Luego, plantea la cantidad de movimiento final del sistema formado por los tres trozos:
pf = M1*v1 + M2*v2 + M3*v3, sustituyes expresiones, y queda:
pf = 1*< -12 , 0 > + 2* < 0 , -8 > + M3*< 40*cosθ , 40*senθ >, resuelves los dos primeros términos, y queda:
pf = < -12 , 0 > + < 0 , -16 > + M3*< 40*cosθ , 40*senθ >, reduces los dos primeros términos, y queda:
pf = < -12 , -16 > + M3*< 40*cosθ , 40*senθ >, sustituyes la expresión señalada (1), y queda:
pf = < -12 , -16 > + (M - 3)*< 40*cosθ , 40*senθ > (3).
Luego, como no actúan fuerzas externas durante la explosión, puedes plantear que la cantidad de movimiento se conserva, y tienes la ecuación:
pf = pi, sustituyes la expresión señalada (3) y el valor señalado (2), y queda:
< -12 , -16 > + (M - 3)*< 40*cosθ , 40*senθ > = < 0 , 0 >, haces pasaje de término, y queda:
(M - 3)*< 40*cosθ , 40*senθ > = < 0 , 0 > - < -12 , -16 >, cancelas el término vectorial nulo, y queda:
(M - 3)*< 40*cosθ , 40*senθ > = -< -12 , -16 >, resuelves el segundo miembro, y queda:
(M - 3)*< 40*cosθ , 40*senθ > = < 12 , 16 >, resuelves el producto en el primer miembro, y queda:
< 40*(M - 3)*cosθ , 40*(M - 3)*senθ > = < 12 , 16 >;
luego, por igualdad entre vectores, igualas componente a componente y queda el sistema de ecuaciones:
40*(M - 3)*cosθ = 12,
40*(M - 3)*senθ = 16;
luego, divides por 40 en ambos miembros de ambas ecuaciones, y queda:
(M - 3)*cosθ = 0,3 (4),
(M - 3)*senθ = 0,4 (5);
luego, divides miembro a miembro la segunda ecuación entre la primera, simplificas, y queda:
tanθ = 4/3,
compones en ambos miembros con la función inversa de la tangente (observa que elegimos la solución que pertenece al primer cuadrante), y queda:
θ ≅ 53,13°;
luego, reemplazas en la ecuación señalada (4), y queda:
(M - 3)*cos(53,13°) ≅ 0,3, haces pasaje de factor como divisor, luego haces pasaje de término, y queda:
M ≅ 0,3/cos(53,13°) + 3 ≅ 0,5 + 3 = 3,5 kg;
luego, reemplazas valores en la ecuación señalada (5) y verás que la solución hallada se verifica como Verdadera.
Espero haberte ayudado.
Para preguntas de esta temática, la próxima vez mejor en el foro de física.
https://2007kepler.files.wordpress.com/2011/10/sol-03-dinc3a1mica.pdf (ejercicio 02)
El propietari d'un terreny vol instalar una tanca rectangular, amb un dels costats de la tanca tocant a una carretera recta. Per fer-ho disposa de 6000 euros. Cada metre de tanca instalada en costat de la carretera costa 15 euros. En els altres tres costats costa 5 euros cadascun. Determineu les mides de la tanca que el propietari pot instalar amb el pressupost de 6000 i que provoquen un rectangle d'àrea màxima.
He planteado esto 6000=15x+15y
x-lado carretera y-altres No se como sacar otra ecuación ya que me falta la area.
Un agricultor quiere cerrar 60000 metros cuadrados de terreno rectangular.Uno de los lados es al lado del camino, la qual cosa hace que el metro de tanca sea de 10 euros por metro. Por la resta de lados, es de 5 euros el metro. Quantos metros de cada tipus de tanca tiene que comprar el agricultor para hacer mínimos sus gastos.
Mi resolución
60000= b*a
C= 5B+5B+10A+5A ¿me sale raíz de 9000 el mínimo voy por el buen camino?
Hola buenas, tengo una duda con este ejercicio me pide que estudie el rango en función de "k". La pregunta es por qué no calcula todos los determinantes 2x2 y va sacando los valores correspondientes de "k" que hacen que la matriz no sea de rango "2". También, ¿que significa el símbolo de la respuesta correcta?.
Gracias de antemano
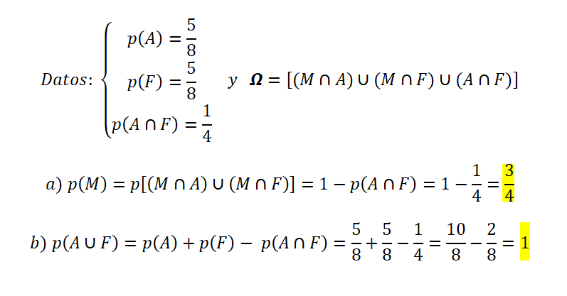
Hola, buenas tardes. Me podría alguien apoyar con este problema de probabilidad por favor?, me siento un poco confundido con el problema, es el siguiente:
Gracias de antemano, saludos.

¡Hola! Nos encantaría ayudarte, pero no solemos responder dudas universitarias que no tengan que ver específicamente con los vídeos que David Calle ha grabado como excepción. O de otras asignaturas que no sean Matemáticas, Física y Química. Lo sentimos de corazón… Esperamos que lo entiendas.
Ojalá algún unicoo universitario se anime a ayudarte (de hecho, lo ideal es que todos los universitarios intentarais ayudaros los unos a los otros).
http://www.cartagena99.com/recursos/alumnos/apuntes/Integrales%20triples.pdf <----PDF
El 4.13 del PDF es parecido.

Te ayudo con los límites de integración.
Observa la ecuación de la esfera: haces pasaje de término, completas un trinomio cuadrado perfecto para los términos con z, y queda: x2 + y2 + (z - 2)2 = 4, por lo que tienes que el centro de la esfera es (0,0,2) y su radio es 2.
Luego, expresas las ecuaciones en Coordenadas Cilíndricas con eje z:
x = r*cosθ,
y = r*senθ,
z = z,
con el factor de compensación (Jacobiano): |J| = r,
y las ecuaciones quedan:
r2 + (z - 2)2 = 4 (esfera), de aquí despejas: z = 2 + √(4 - r2) (semiesfera superior)
r = z (semicono), con z ≥ 0.
Luego, observa que tienes los límites de integración para la variable z:
r ≤ z ≤ 2 + √(4 - r2).
Luego, observa que el sólido tiene eje de simetría OZ positivo, por lo que tienes que la variable θ toma todos sus valores, por lo puedes plantear para su intervalo de integración:
0 ≤ θ ≤ 2π.
Luego, para determinar los límites de integración de la variable r, plantea la proyección del sólido sobre el plano Orθ (que es el plano OXY del sistema cartesiano), para ello sustituyes la expresión de la ecuación del cilindro en la ecuación de la esfera, y queda:
r2 + (r - 2)2 = 4,
desarrollas el binomio elevado al cuadrado, haces pasaje de término, reduces términos semejantes, y queda:
2r2 - 4r = 0,
que es una ecuación polinómica cuadrática, cuyas soluciones son: r = 0 y r = 2,
por lo que tienes que el intervalo de integración para la variable r es:
0 ≤ r ≤ 2.
Espero haberte ayudado.

¡Hola! Nos encantaría ayudarte, pero no solemos responder dudas universitarias que no tengan que ver específicamente con los vídeos que David Calle ha grabado como excepción. O de otras asignaturas que no sean Matemáticas, Física y Química. Lo sentimos de corazón… Esperamos que lo entiendas.
Ojalá algún unicoo universitario se anime a ayudarte (de hecho, lo ideal es que todos los universitarios intentarais ayudaros los unos a los otros).
http://www.cartagena99.com/recursos/alumnos/apuntes/Integrales%20triples.pdf <----PDF
El 4.10 del PDF es análogo, sólo que r=3 (y no 4 como en tu enunciado) , y que el cono z2=x2+y2 (y no 2z2=x2+y2). Por lo tanto tienes que tener cuidado con las coordenadas esféricas que definas.