
Observa que el punto de cálculo es x0 = 9; luego tienes la doble inecuación:
2,99 < f(x) < 3,01, sustituyes la expresión de la función en el segundo miembro, y queda:
2,99 < √(x) < 3,01, elevas al cuadrado en los tres miembros (observa que son positivos, y que la función x2 es creciente), y queda:
2,992 < x < 3,012, resuelves potencias, y queda:
8,9401 < x < 9,0601, restas 9 en los tres miembros, y queda:
-0,0599 < x - 9 < 0,0601, reduces la segunda desigualdad (observa que tienes: 0,0599 < 0,0601), y queda:
-0,0599 < x - 9 < 0,0599, expresas la doble inecuación como una inecuación con valor absoluto, y queda:
|x - 9| < 0,0599,
por lo que tienes:
δ = 0,0599.
Espero haberte ayudado.
Hola, si x² + 1 = 0 es igual a x² = -1 ¿Porqué es igual?
ahora, si tengo presente que 4² = 4 x 4 entonces, ¿ Por qué no puede ser x = 2 - 3 ? es decir (2 - 3)² + 1 = 0 o (2 - 3)² = 1 ¿Por qué no puede ser?

Observa que tienes la ecuación:
x2 + 1 = 0, restas 1 en ambos miembros (propiedad uniforme de la suma), y queda:
x2 + 1 - 1 = 0 - 1, cancelas términos opuestos en el primer miembro, resuelves el segundo miembro, y queda:
x2 = -1, escribes el primer miembro como un producto, y queda:
x*x = -1;
luego, observa que el segundo miembro es negativo, y tienes dos opciones en el conjunto de los números reales:
a)
si x es positivo, entonces tienes que x*x es un producto de dos factores positivos, por lo que su resultado es positivo, y no puede ser igual a -1;
b)
si x es negativo, entonces tienes que x*x es un producto de dos factores negativos, por lo que su resultado es positivo, y no puede ser igual a -1.
por lo que tienes que la ecuación no tiene solución en el conjunto de los números reales.
Luego, si planteas: x = 2 - 3, entonces tienes:
x2 = x*x = (2 - 3)*(2 -3) = dsitribuyes = 2*2 + 2*(-3) - 3*2 - 3*(-3) = resuelves términos = 4 - 6 - 6 + 9 = 13 - 12 = +1,
por lo tanto tienes:
x2 + 1 = sustituyes el primer término = 1 + 1 = 2, que es distinto de cero.
Espero haberte ayudado.
" si x² + 1 = 0 es igual a x² = -1 ¿Porqué es igual? "
Porque "alteramos" exactamente igual un lado de la igualdad que el otro (restamos "1" a ambos lados), "paso por paso" sería:
x2+1=0 ----> x2+1-1=0-1 ----> x2+0= -1 ----> x2= -1
------------
La otra "pregunta" te la intento explicar:
x2+1 = 0 --(nos saltamos el proceso "paso por paso anterior"-----> x2 = -1 ----> x= √(-1) = i = número imaginario
Por lo tanto, no se cumple (2 - 3)² + 1 = 0 o (2 - 3)² = -1 por que la x no puede tener ningún que no sea x= i para que se cumpla la igualdad.
NO PUEDES SUSTITUIR POR NINGÚN VALOR DE LOS REALES (ENTRE ELLOS ESTÁ x=2-3= -1)
Hola Unicoos, por favor me podrian ayudar con este problema, es por teorema del emparedado, no entiendo como demostrarlo

Tienes en tu enunciado:
0 ≤ f(x) ≤ c, multiplicas por x2 en los tres miembros (observa que x2 es estrictamente positivo y muy próximo a 0 cuando x tiende a 0), y queda:
0*x2 ≤ f(x)*x2 ≤ c*x2, resuelves el primer miembro, y queda:
0 ≤ f(x)*x2 ≤ c*x2, aplicas el Teorema de Acotación (o "del emparedado"), y queda.
Lím(x→0) 0 ≤ Lím(x→0) f(x)*x2 ≤ Lím(x→0) c*x2, resuelves los límites en el primero y en el tercer miembro, y queda:
0 ≤ Lím(x→0) f(x)*x2 ≤ 0,
por lo que puedes concluir:
Lím(x→0) f(x)*x2 ≤ 0.
Espero haberte ayudado.
La ecuación de tu enunciado es equivalente a:
x(x4-2x3-6x+8)=0 ----------> x= 0 y x4-2x3-6x+8=0
Descartamos el x=0 porque no es entero positivo
Vamos a buscar en qué intervalos de los enteros positivos (a partir de 1) puede cumplirse x4-2x3-6x+8=0 (será cuando halla cambio de signo en el valor de x4-2x3-6x+8 ) :
Cuando x=1 , x4-2x3-6x+8 es igual a 1 > 0
Cuando x=2 , x4-2x3-6x+8 es igual a -4 < 0

Haces pasajes de términos en la ecuación de tu enunciado, ordenas términos, y queda:
x5 - 2x4 - 6x2 + 8x = 0 (1).
Luego, puedes plantear la expresión de la función:
f(x) = x5 - 2x4 - 6x2 + 8x, que es continua en el conjunto de los números reales;
y observa que las soluciones de la ecuación son las raíces reales de la función.
Luego, extraes factor común en el primer miembro de la ecuación señalada (1), y queda:
x*(x4 - 2x3 - 6x + 8) = 0.
Luego, por anulación de un producto, tienes dos opciones:
a)
x = 0;
b)
x4 - 2x3 - 6x + 8 = 0;
luego, puedes plantear la expresión de la función:
g(x) = x4 - 2x3 - 6x + 8 = 0, que es continua en el conjunto de los números reales;
luego, evalúas la expresión de la función para valores naturales, y queda:
g(0) = 0 - 0 - 0 + 8 = 8 > 0,
g(1) = 1 - 2 - 6 + 8 = 1 > 0,
g(2) = 16 - 16 - 12 + 8 = -4 < 0,
g(3) = 81 - 54 - 18 + 8 = 17 > 0;
luego, observa que la función toma valores con signos distintos en los extremos de los intervalos: [1,2] y [2,3];
por lo que aplicas el Teorema de Bolzano, y tienes:
1°)
existe c1 ∈ [1,2] tal que g(c1) = 0,
2°)
existe c2 ∈ [2,3] tal que g(c2) = 0;
por lo que puedes concluir: n = 1 y m = 2.
Espero haberte ayudado.
Primera inecuación
Si 2≤ x≤ 3 , entonces x≥ 2 y x≤ 3
Obtendrás en la gráfica una línea vertical infinita de grosor [2,3]
Segunda inecuación
Si -1≤ y≤ 1 , entonces y≥ -1 e y≤ 1
Obtendrás en la gráfica una línea horizontal infinita de grosor [-1,1]
Representación gráfica del sistema de inecuaciones con 2 incognitas.
Superpones las dos gráficas y te quedará una especie de signo de suma con líneas infinitas.
El recinto que cumpla las condiciones que imponen tus inecuaciones es la solución a tu problema, y coincide con la intersección de ambas gráficas (los puntos en los que coinciden)
Solo tengo problemas en la definicion del valor absoluto. Que hago mal? Por qué me dan las desigualdades menores que 3 las dos?. Gracias![]()
Muchas gracias César. No puede estar más claro. Pero mi única duda es con el valor absoluto. Nos piden que partamos construyéndolo con desigualdades de cero, tal como pongo en mi pregunta y que luego lleguemos a la desigualdad menor que tres y mayor que tres, entiendo perfectamente lo que haces, pero no soy capaz de hacerlo partiendo de la desigualdad con cero. No sé si me he explicado. De cualquier forma os agradezco muchísimo el interés que os tomais.
¿Cómo puedo demostrar que este enunciado es Falso?


Me encantaría ayudarte, pero no respondo dudas universitarias que no tengan que ver específicamente con los videos que ya he grabado como excepcion. O de otras asignaturas que no sean matemáticas, física y química. Lo siento de corazón… Espero lo entiendas
Ojalá algun unicoo universitario se anime a ayudarte (de hecho lo ideal es que todos los universitarios intentarais ayudaros los unos a los otros)
Hola David, de todas formas la pude resolver, dejo por aquí la solución:
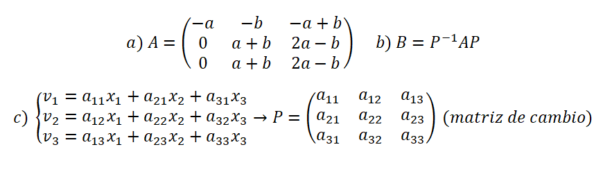
Si C((T))B = C((T))A P entonces P tiene que ser la matriz de cambio de base de B a A.
Si C((T))A = C((T))B P entonces P tiene que ser la matriz de cambio de base de A a B.
Como las matrices de cambio de base de A a B y de B a A son inversa una de la otra, entonces esa matriz P va a tener que cumplir que P= P^(-1). El enunciado era verdadero al final
Si te refieres a la función
f(x)=
((x-1)(x+1))/(x-1) cuando x≠1
2 cuando x=1
que es equivalente a:
f(x)=
(x+1) cuando x≠1
2 cuando x=1
tenemos que:
lim(x→1-) f(x) = lim(x→1+) f(x) = 1+1 = 2
y
f(1)= 2
Es continua, y por lo tanto es un ejemplo para DECIR que es verdadera, pero NO ASEGURAR por las posibles discontinuidades o no definiciones de la función que apuntábamos anteriormente.