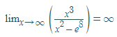
Buenas tardes: tengo dudas creo fáciles pero no sé razonarlo.
Me dicen que si tengo dos vectores u y v donde sus módulos son iguales a 4 y 3/2 y el ángulo que forman es de 30º respectivamente. Me piden calcular el producto escalar de u * u y el de v*(-V) .
los resultados son 16 y 9/4 respectivamente.
Gracias.

2 vectores iguales (módulo , dirección , sentido) forman un ángulo de 0° grados .
1 vector con su opuesto forman un ángulo de 180° , ejemplo v y ( -v )
Existe una fórmula para el producto escalar (producto punto) : a • b = |a| |b| Cosθ , donde θ es el ángulo que forman los vectores
1 ) u • u = |u| |u| Cos0° = (4) (4) (1) = 16
2) v • (-v) = |v| |-v| Cos180° = (3/2) (3/2) (-1) = - 9/4 , debes saber que | v | = | - v |
A ver, si lo he entendido bien y es un diálogo entre A y B:
Persona A= x
Persona B=y
1: X +10 minas =Triple de y-10 minas (se supone que y se las da a x)
x+10=3·(y-10)
2: Y +10 minas = Quintuple de x-10 minas (se las da a y)
y+10=5·(x-10)
x+10=3·(y-10)
y+10=5·(x-10)
Ahí tienes un sistema de ecuaciones que supongo sabes resolver
Espero que te sea de ayuda ^^

Chico siempre veo una foto completa de muchos ejercicios y solo quiere ayuda en uno en particular , creo que es mejor que sólo le tome foto a aquello que quiere que le ayuden , así la imagen se vería mejor y no habría confusiones , sólo es una recomendación no hay nada malo en lo suyo .
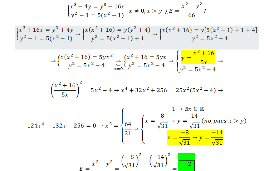
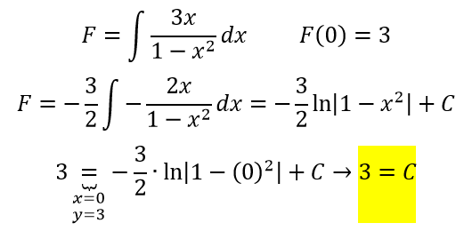
Al resolver el 30 y hacer f de 0 me quedaría 0 y el solucionario me dice que es -3/2. ¿por qué? Muchas gracias![]()

Es que no te piden f(0) sino una primitiva F(x) que pasa por (0,3) , osea que primero calculas la integral de f(x) y a esa integral la evalúas en x=0 y tiene que dar como resultado 3 , ya que F(0) = 3 , esto te sirve para que calcules el valor de la constante C que se obtiene al integrar.
Observar que F es una primitiva de f , lo mismo que decir que la derivada de F es f .
Recuerda que nunca se evalua antes de derivar o integrar (es un error frecuente) sino primero se deriva o integrar y luego se evalúa.
Por favor podría alguien ayudarme a resolver paso a paso éste sistema de dos Ecuaciones con dos incógnitas ?. Sé que hay que hacerlo usando logaritmos pero ya lo he intentado y no consigo sacarlo. Me vendría muy bien vuestra ayuda. Saludos
En este ejercicio no termino de entender hasta donde se reduce la matriz con Gauss.
Ya que si escalonas la matriz, ¿bastaría hasta la segunda matriz, no? y el resultado sería completamente distinto.
Gracias por vuestra ayuda, un saludo.

Observa que tienes un sistema de tres ecuaciones lineales y de primer grado, con tres incógnitas.
Luego, planteas la matriz ampliada del sistema y queda:
1 1 2 0
1 1 3 1
1 1 2-a a
Luego, mantienes la fila 1, a la fila 2 le restas la fila 1, a la fila 3 le restas la fila 1, y queda:
1 1 2 0
0 0 1 1
0 0 -a a
Luego, mantienes la fila 1 y la fila 2, a la fila 3 le sumas la fila 2 multiplicada por a, y queda:
1 1 2 0
0 0 1 1
0 0 0 2a,
y observa que tienes una matriz escalonada por filas.
Luego, tienes dos opciones:
1)
Si a = 0, tienes que la tercera fila es nula, que el rango de la matriz A es 2, que el rango de la matriz ampliada es 2, por lo que el sistema es compatible indeterminado y tiene infinitas soluciones, y la matriz ampliada escalonada queda:
1 1 2 0
0 0 1 1
0 0 0 0;
luego, descartas la fila nula, planteas el sistema de ecuaciones equivalente, y queda:
x + y + 2z = 0
z = 1
reemplazas el valor remarcado en la primera ecuación, haces pasajes de términos, y queda: x = -y - 2;
luego, las soluciones del sistema quedan expresadas:
x = -y - 2
y ∈ R
z = 1.
2)
Si a ≠ 0, tienes que el rango de la matriz del sistema es 2 pero el rango de la matriz ampliada es 3, por lo que el sistema es incompatible y no tiene solución.
Espero haberte ayudado.
me gustaria saber como es el grafico de un limite de una funcion para x que tiende a infinito de una funcion con valon infinito en la teoria