
1)
Puedes plantear la sustitución (cambio de variable):
w = 5 - 3*cosx (1), de donde tienes:
dw = 3*senx*dx, y también tienes:
2*dw = 6*senx*dx;
luego, sustituyes, y la integral queda:
I = ∫ (2/w)*dw;
luego, extraes el factor constante, y queda:
I = 2*∫ (1/w)*dw;
luego, integras y queda:
I = 2*ln|w| + C;
luego, sustituyes la expresión señalada (1), y queda:
I = 2*ln|5 - 3*cosx| + C.
2)
Puedes plantear la sustitución (cambio de variable):
w = 1 + sen2x (2), de donde tienes:
dw = 2*senx*cosx*dx;
luego, sustituyes, y la integral queda:
I = ∫ (1/w)*dw;
luego, integras y queda:
I = ln|w| + C;
luego, sustituyes la expresión señalada (2), y queda:
I = 2*ln|1 + sen2x| + C.
Espero haberte ayudado.
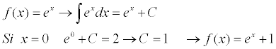
Hola, me podría explicar alguien a como hacer este ejercicio?
Calcula la primitiva de las siguiente funcione para que pasen
por el punto que se indica : e^x por el punto (0, 2)

¡Hola! Nos encantaría ayudarte, pero no solemos responder dudas universitarias que no tengan que ver específicamente con los vídeos que David Calle ha grabado como excepción. O de otras asignaturas que no sean Matemáticas, Física y Química. Lo sentimos de corazón… Esperamos que lo entiendas.
Ojalá algún unicoo universitario se anime a ayudarte (de hecho, lo ideal es que todos los universitarios intentarais ayudaros los unos a los otros).
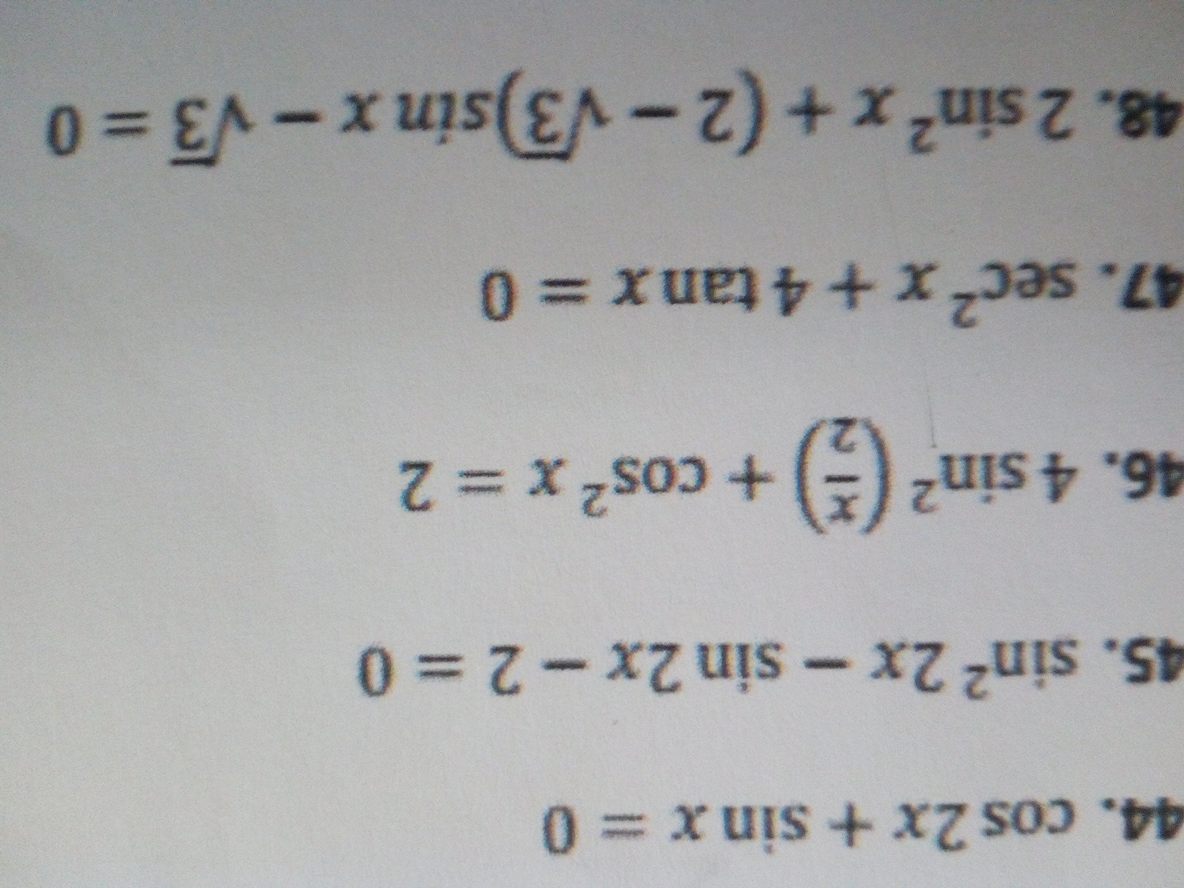
Hola me ayudarian a resolver algunos ejercicios que se encuentran en esta imagen sobre ecuaciones trigonometrica
51)
√(3)*senx +2 = 0
√(3)*senx = -2
senx = -2/(√3)
Apunte teórico: El valor de senx vale como mínimo -1 y como máximo +1
senx= (-2*√3)/(√3*√3) = (-2*√3)/3 = (-2/3)*√3 = -1.1547
Como senx= -1.1547, y la teoría nos dice que no puede valer menos de -1, entonces no existe x que verifique senx= -1.1547; por lo tanto no existe solución válida en ℛ.