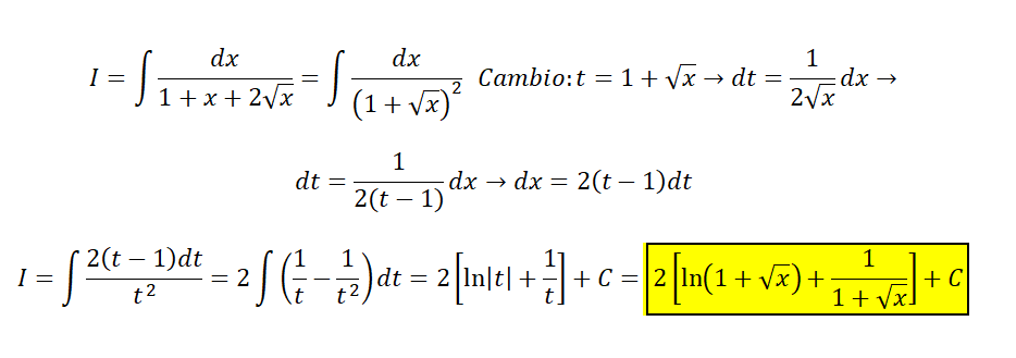
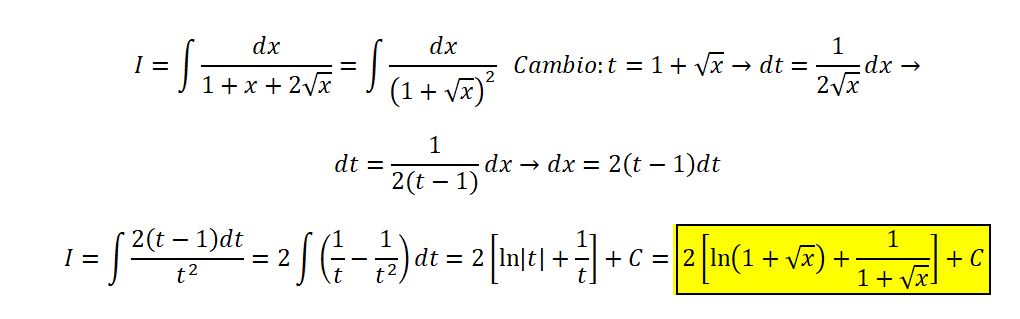
Hola, perdón por repetirme pero necesito calcular la integral con el cambio de variable t = √x
Me falta un 2 que multiplique a todo pero no sé de dónde sacarlo.
Buenas Jordi, cuando estás descomponiendo como suma de fracciones simples, el mínimo común múltiplo de 1+t y de (1+t)^2 es (1+t)^2. Por tanto, cuando dividas (1+t)^2 entre (1+t) y el cociente lo multipliques por A, te queda A(1+t). Del mismo modo, en la segunda fracción te queda solo B. Entonces tienes que buscar A y B para que A(1+t)+B=2t . Si calculas ahora A y B te sale A=2 y B=-2, por lo tanto,2*ln(1+t)-2/(1+t)+C. Luego deshaces el cambio y te sale lo mismo pero con el ansiado 2.
Espero haberte ayudado.
Un saludo
hola unicoos estoy repasando para un examen de mañana y me ha aparecido este problema:
- Se considera una funcion real de variable real:
f(x)=(3x3 +3) / x
- Determina las asintotas oblicuas
Gracias de antemano

Observa que el dominio de la función es: D = (-∞,0) ∪ (0,+∞) = R - {0}.
Luego, observa que puedes distribuir el denominador, y luego de simplificar, queda:
f(x) = 3x2 + 3/x, que es la forma estándar de la expresión de la función.
Luego, observa que puedes tomar los límites:
Lím(x→-∞) f(x) = Lím(x→-∞) (3x2 + 3/x) = +∞,
pero observa que el primer término tiende a +infinito pero el segundo término tiende a cero, por lo que el segundo término es despreciable con respecto al primero,
por lo que puedes considerar que la parábola de ecuación: y = 3x2 es una "asíntota curva" de la gráfica de la función por la izquierda;
Lím(x→+∞) f(x) = Lím(x→+∞) (3x2 + 3/x) = +∞,
pero observa que el primer término tiende a +infinito pero el segundo término tiende a cero, por lo que el segundo término es despreciable con respecto al primero,
por lo que puedes considerar que la parábola de ecuación: y = 3x2 es una "asíntota curva" de la gráfica de la función por la derecha;
Lím(x→0-) f(x) = Lím(x→0-) (3x2 + 3/x) = -∞,
pero observa que el primer término tiende a cero pero el segundo término tiende a -∞, por lo que el primer término es despreciable con respecto al segundo,
por lo que tienes que la recta cuya ecuación es: x = 0 es asíntota vertical inferior por izquierda de la gráfica de la función;
Lím(x→0+) f(x) = Lím(x→0+) (3x2 + 3/x) = +∞,
pero observa que el primer término tiende a cero pero el segundo término tiende a +∞, por lo que el primer término es despreciable con respecto al segundo,
por lo que tienes que la recta cuya ecuación es: x = 0 es asíntota vertical superior por derecha de la gráfica de la función.
Espero haberte ayudado.

Observa que el dominio de la función es: D = (-∞,0) ∪ (0,+∞) = R - {0}.
Luego, observa que puedes distribuir el denominador, y luego de simplificar, queda:
f(x) = 3x2 + 3/x, que es la forma estándar de la expresión de la función.
Luego, observa que puedes tomar los límites:
Lím(x→-∞) f(x) = Lím(x→-∞) (3x2 + 3/x) = +∞,
pero observa que el primer término tiende a +infinito pero el segundo término tiende a cero, por lo que el segundo término es despreciable con respecto al primero,
por lo que puedes considerar que la parábola de ecuación: y = 3x2 es una "asíntota curva" de la gráfica de la función por la izquierda;
Lím(x→+∞) f(x) = Lím(x→+∞) (3x2 + 3/x) = +∞,
pero observa que el primer término tiende a +infinito pero el segundo término tiende a cero, por lo que el segundo término es despreciable con respecto al primero,
por lo que puedes considerar que la parábola de ecuación: y = 3x2 es una "asíntota curva" de la gráfica de la función por la derecha;
Lím(x→0-) f(x) = Lím(x→0-) (3x2 + 3/x) = -∞,
pero observa que el primer término tiende a cero pero el segundo término tiende a -∞, por lo que el primer término es despreciable con respecto al segundo,
por lo que tienes que la recta cuya ecuación es: x = 0 es asíntota vertical inferior por izquierda de la gráfica de la función;
Lím(x→0+) f(x) = Lím(x→0+) (3x2 + 3/x) = +∞,
pero observa que el primer término tiende a cero pero el segundo término tiende a +∞, por lo que el primer término es despreciable con respecto al segundo,
por lo que tienes que la recta cuya ecuación es: x = 0 es asíntota vertical superior por derecha de la gráfica de la función.
Espero haberte ayudado.
Hola! Estoy en un ejercicio de radicales que no se muy bien como hacer:
(5 raíz cuadrada de 2 + 3) · ( 2 + raíz cuadrada de 2)
Alguien me podría explicar como se hace, o al menos por donde empiezo? Muchísimas gracias, me haríais un gran favor!!

Si tienes la expresión:
( 5*√(2) + 3 )*( 2 + √(2) ) = distribuyes, y queda:
= 5*√(2)*2 + 5*√(2)*√(2) + 3*2 + 3*√(2) = resuelves productos, reduces factores semejantes, y queda:
= 10*√(2) + 5*( √(2) )2 + 6 + 3*√(2) = simplificas índice y exponente en el segundo término, y queda:
= 10*√(2) + 5*2 + 6 + 3*√(2) = resuelves el segundo término, y queda:
= 10*√(2) + 10 + 6 + 3*√(2) =
reduces términos racionales (en este caso enteros) y términos irracionales, y queda:
= 16 + 13*√(2).
Espero haberte ayudado.
Hola, como se solucionaría este problema:
El perímetro de un rectángulo es de 22 cm, y sabemos que su base es 5 cm más larga que su altura. Plantea un sistema de ecuaciones y resuélvelo para hallar las dimensiones del rectángulo.