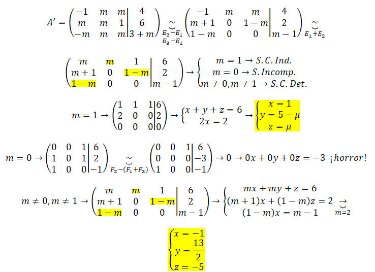
Me sale en m=0 rango 2 matriz normal, con ampliada rango 3, 3 incognitas SI
En m=1 me sale rango 2 matriz normal, con ampliada rango 3 , 3 incognitas SI pero DEBE SER SCI
No se donde esta el error
ja que -1 1 9 por tanto determinante 10, por tanto seria SI.
1 1 6
-1 1 4
hola alguien me puede ayudarme con estos temas. si alguien ha visto las preguntas de antes me olvide poner lla pregunta.
-ESTADÍ STICAS UNIDIMENSIONAL.
- RECTA DEREGRESIÓN.
- CÁLCULO DE PROBABILIDADES.
-DISTRIBUCIÓN BINOMINAL

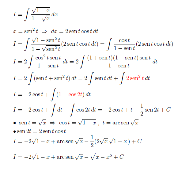
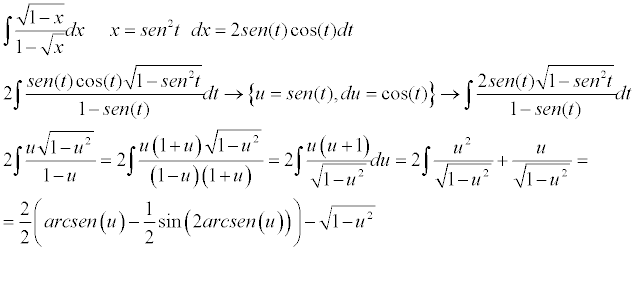
Observa que deben cumplirse dos condiciones:
a)
1 - x ≥ 0, haces pasaje de término, y tienes: -x ≥ -1,
luego, multiplicas por -1 en ambos miembros (observa que cambia la desigualdad), y queda: x ≤ 1;
b)
1 - √(x) > 0, observa que debe cumplirse: x > 0, haces pasaje de término, y tienes: -√(x) > -1,
luego, multiplicas en ambos miembros por -1 (observa que cambia la desigualdad), y queda: √(x) < 1,
haces pasaje de raíz como potencia, y queda: x < 1;
luego, observa que el dominio de la función a integrar queda: D = (0,1).
Luego, puedes plantear la sustitución (cambio de variable):
x = sen2w, de donde tienes: tienes: √(x) = senw (1),
dx = 2*senw*cosw*dw;
luego, tienes: √(1-x) = √(1-sen2w) = √(cos2w) = cosw (2);
también tienes: 1-√(x) = 1-√(sen2w) = 1-senw,
y también tienes:
arcsen(√(x)) = w (3);
luego sustituyes, y la integral queda:
I = ∫ [√(1-x)/( 1-√(x) )] * dx, luego sustituyes, y queda:
I = ∫ [cosw/(1-senw)] * 2*senw*cosw*dw;
luego, multiplicas en el numerador y en el denominador por (1+senw), y queda:
I = ∫ [cosw*(1+senw) / (1-senw)*(1+senw)] * 2*senw*cosw*dw;
distribuyes en el denominador del agrupamiento, y queda:
I = ∫ [cosw*(1+senw) / (1-sen2w)] * 2*senw*cosw*dw;
aplicas la identidad del cuadrado del coseno en función del cuadrado del seno en el denominador, y queda:
I = ∫ [cosw*(1+senw) / (cos2w)] * 2*senw*cosw*dw;
simplificas los factores y el denominador remarcado, y queda:
I = ∫ (1+senw) * 2*senw*dw;
extraes el factor constante, distribuyes en el argumento de la integral, y queda:
I = 2 * ∫ (senw + sen2w)*dw;
expresas a la integral como suma de integrales, distribuyes el factor constante, y queda:
I = 2*∫senw*dw + 2*∫sen2w*dw = 2*I1 + 2*I2 (4);
luego, resuelves cada integral por separado:
2*I1 = 2*∫senw*dw = 2*(-cosw) + C1= -2*cosw + C1,
2*I2 = 2*∫sen2w*dw = aplicas la identidad del cuadrado del seno de un ángulo en función de su doble, y queda:
= 2*∫ ( 1-cos(2w) )/2 * dw = extraes el factor constante, simplificas, y queda:
= ∫ ( 1-cos(2w) )*dw = separas en términos, resuelves, y queda:
= w - (1/2)*sen(2w) + C2 = aplicas la identidad del seno del doble de un ángulo, y queda:
= w - (1/2)*2*senw*cosw + C2 = resuelves coeficientes en el segundo término, y queda:
= w - senw*cosw;
luego, sustituyes las expresiones remarcadas en la expresión señalada (4) (observa que asociamos las dos constantes arbitrarias C1 y C2 en una sola constante arbitraria C, y queda:
I = -2*cosw + w - senw*cosw + C;
luego, sustituyes las expresiones señaladas (1) (2) (3), y queda:
I = -2*√(1-x) + arcsen(√(x)) - √(x)*√(1-x) + C.
Espero haberte ayudado.