Hola, me podrian ayudar a resolver esta integral por favor. Gracias de antemano.
∫√(t^6+1) dt

¡Hola! Nos encantaría ayudarte, pero no solemos responder dudas universitarias que no tengan que ver específicamente con los vídeos que David Calle ha grabado como excepción. O de otras asignaturas que no sean Matemáticas, Física y Química. Lo sentimos de corazón… Esperamos que lo entiendas.
Ojalá algún unicoo universitario se anime a ayudarte (de hecho, lo ideal es que todos los universitarios intentarais ayudaros los unos a los otros).
https://www.wolframalpha.com/input/?i=%5Cint+%5Csqrt%7Bt%5E6%2B1%7D
Un poquito larga la respuesta. jaja
Buenas, alguien podría ayudarme con estas ecuaciones. Tengo este ejercicio y necesito hallar el valor de ro^2 ( ecuación 3) y para eso tengo que encontrar x e y de las ecuaciones (1) y (2) pero no sé cómo hacerlo. Estuve intentando pero llego a expresiones demasiado complicadas. Las únicas incógnitas son x e y los demás son todos datos conocidos. Si alguien podría ayudarme se los agradecería.

¡Hola! Nos encantaría ayudarte, pero no solemos responder dudas universitarias que no tengan que ver específicamente con los vídeos que David Calle ha grabado como excepción. O de otras asignaturas que no sean Matemáticas, Física y Química. Lo sentimos de corazón… Esperamos que lo entiendas.
Ojalá algún unicoo universitario se anime a ayudarte (de hecho, lo ideal es que todos los universitarios intentarais ayudaros los unos a los otros).
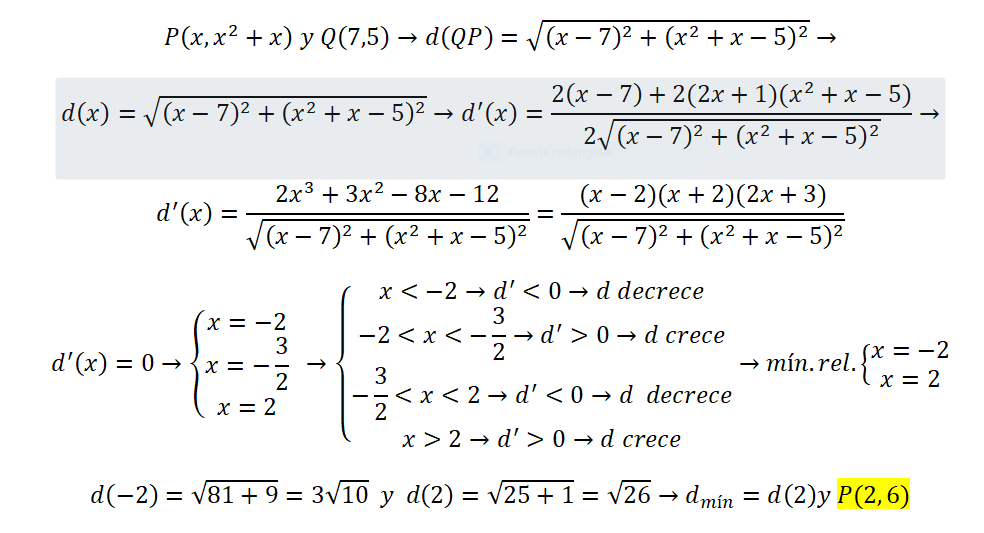
ayuda please con este ejercicio: halle el punto de la parábola y = x² +x mas cercano al punto (7;5)
A) (-2;2) B) (-2;6) C) (2;6) D) ( -3/2;3/4) E) (2;2)
BUENAS TENGO ESTOS DOS TIPOS DE ECUACIONES DIFERENCIALES DE ORDEN SUPERIOR, AL MOMENTO DE YO RESOLVERLAS, PUEDO RESOLVER LA DE LA DERECHA , COMO SI FUESE LA DE LA IZQUIERDA? YA QUE LA UNICA DIFERENCIA ES UNA RAIZ EN LA ECUACION CARACTERISTICA, PERO ESTA RAIZ ES 0, POR LO TANTO EN MI SOLUCION GENERAL , SOLAMENTE TENDRIAS QUE AÑADIR UNA CONSTANTE, NO SE SI ME EXPLIQUE. El punto es resolver esa ecuacion que es de orden 3 como una ecuacion de orden dos, solo que al final agrego una constante? gracias de antemano

¡Hola! Nos encantaría ayudarte, pero no solemos responder dudas universitarias que no tengan que ver específicamente con los vídeos que David Calle ha grabado como excepción. O de otras asignaturas que no sean Matemáticas, Física y Química. Lo sentimos de corazón… Esperamos que lo entiendas.
Ojalá algún unicoo universitario se anime a ayudarte (de hecho, lo ideal es que todos los universitarios intentarais ayudaros los unos a los otros).