Como puedo resolver este ejercicio de numero complejos:
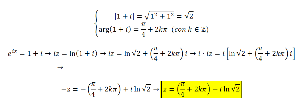
eiz = 1+ i

Tienes el número complejo del segundo miembro:
w = 1+i,
cuyo módulo es: |w| = √(2) = eln( √(2) ), y cuyo argumento es: α = π/4 (te dejo los cálculos);
luego, expresa al número complejo w en forma exponencial, por medio de la Fórmula de Euler:
w = |w|*ei*(α+2*k*π) = eln( √(2) )*ei*( (π/4)+2*k*π ) = eln( √(2) )+i*( (π/4)+2*k*π ) (1), con k ∈ Z.
Expresa al número complejo z en forma cartesiana binómica:
z = x+i*y, con x ∈ R e y ∈ R;
luego, tienes para la expresión del exponente en el primer miembro:
i*z = i*(x+i*y) = i*x + i2*y = i*x - 1*y = -y+i*x (2).
Luego, sustituyes las expresiones señaladas (1) (2) en la ecuación del enunciado, y queda:
e-y+i*x = eln( √(2) )+i*( (π/4)+2*k*π ),
luego, por igualdad entre potencias con bases iguales, igualas los exponentes, y queda:
-y + i*x = ln( √(2) ) + i*( (π/4) + 2*k*π ),
luego, por igualdad entre números complejos expresados en forma cartesiana binómica, tienes el sistema de ecuaciones:
-y = ln( √(2) ), aquí multiplicas en ambos miembros por -1, y queda: y = -ln( √(2) ),
x = (π/4) + 2*k*π, con k ∈ Z.
Luego, las soluciones de la ecuación del enunciado quedan expresadas:
z = x + i*y = ( (π/4) + 2*k*π ) + i*( -ln( √(2) ), con k ∈ Z.
Espero haberte ayudado.
ayudaaaaa plis.
un cono circular recto tiene una altura de 12ft y el radio de la base es de 6ft. se inscribe un cono con su vertice en el centro de la base del cono dado y su base paralela a la del cono dado. hallense las dimensiones del cono de volumen maximo que puedan inscribirse asi.
a) observa que dentro de la raíz la equis tiene que ser mayor o igual que cero y que en la fracción no se puede tomar el valor -3, porque haría cero el denominador e indeterminaría la función. Por tanto, la x no puede tomar ni valores negativos ni el -3, los restantes forman parte del dominio; entonces Dom f(x)=[0,inf)
b) Ten en cuenta que dentro de la raíz no puede darse un valor negativo (o equivalentemente, numerador y denominador tienen que tener mismo signo), que el denominador no puede ser cero (tendrás que resolver la ec. de segundo grado del denominador y descartar del dominio los ceros o raíces y estudiar con un "cuadro matricial" cuando coinciden los signos y cuando no, para incluir o descartar del dominio.
c) x2-4 ≥ 0 ------> x2 ≥ 4 ------> x ≤ -2 y x ≥ 2 -----> Dom f(x)= (-inf,-2] U [2,inf)
d) Tienes que tener en cuenta que sólo existen los ln positivos, la fracción tienes que estudiarla de modo análogo al apartado b)
Haz el intento de resolver el b) y el d) y si no te salen nos cuentas.
Buenas. A la hora de realizar un cambio de coordenadas, supongamos que de cartesianas a cilíndricas, el cuadrante tiene importancia, especialmente en los ángulos. ¿Cómo alternaría el ejercicio dependiendo del cuadrante en el que se encuentre? ¿Donde tendría que sumar o restar ángulos? Un saludo.
Hola, alguien le podría echar un vistazo a la resolución de este ejercicio…
¿cumple con los axiomas de distancia?
En el axioma 3 (desigualdad triangular),hay dos ítems que no sé cómo justificar si cumple o no ( ítem 4 y 5). Encontré dos que cumplen (1 y 2), tres que no cumplen por transitividad (6, 7 y 8), y un caso trivial (3). Me podrían ayudar con el 4 y 5?
Muchas gracias!!!!

¡Hola! Nos encantaría ayudarte, pero no solemos responder dudas universitarias que no tengan que ver específicamente con los vídeos que David Calle ha grabado como excepción. O de otras asignaturas que no sean Matemáticas, Física y Química. Lo sentimos de corazón… Esperamos que lo entiendas.
Ojalá algún unicoo universitario se anime a ayudarte (de hecho, lo ideal es que todos los universitarios intentarais ayudaros los unos a los otros).