Hay algún video en unicoos de las fracciones propias y impropias
pls es urgente
https://www.unicoos.com/video/matematicas/2-eso/fracciones/numeros-racionales/numero-mixto (impropias)
http://recursostic.educacion.es/descartes/web/materiales_didacticos/fracciones_migv/impropia.htm (propias e impropias)
Operaciones entre fracciones propias e impropias:
https://www.unicoos.com/video/matematicas/2-eso/fracciones/operaciones-con-fracciones/suma-de-fracciones-con-m-c-m
Hay algún documento en unicoos donde pueda encontrar como hacer una función radical, es que no encuentro videos por ninguna parte.
https://www.vitutor.com/fun/2/c_10.html
Manda el enunciado con el que tengas problemas y te ayudamos.
Hola, he hecho estos ejercicios pero me da distinto a la solución que me plantean.
podrían ayudarme :S
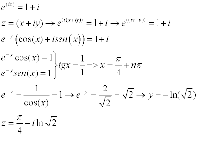
Buenas, tengo un ejercicio de números complejos que no me llega a salir del todo (tengo mañana examen y me gustaría saber como hacerlo). El ejercicio dice: e^(iz)=1+i. Calcular los afijos y dibujarlo. Muchas gracias.