
¡Hola! Nos encantaría ayudarte, pero no solemos responder dudas universitarias que no tengan que ver específicamente con los vídeos que David Calle ha grabado como excepción. O de otras asignaturas que no sean Matemáticas, Física y Química. Lo sentimos de corazón… Esperamos que lo entiendas.
Ojalá algún unicoo universitario se anime a ayudarte (de hecho, lo ideal es que todos los universitarios intentarais ayudaros los unos a los otros).
hola!, si os soy sincera todo el resto de ejercicios me han costado pero estos dos ya ni se. gracias![]()

¡Hola! Nos encantaría ayudarte, pero no solemos responder dudas universitarias que no tengan que ver específicamente con los vídeos que David Calle ha grabado como excepción. O de otras asignaturas que no sean Matemáticas, Física y Química. Lo sentimos de corazón… Esperamos que lo entiendas.
Ojalá algún unicoo universitario se anime a ayudarte (de hecho, lo ideal es que todos los universitarios intentarais ayudaros los unos a los otros).
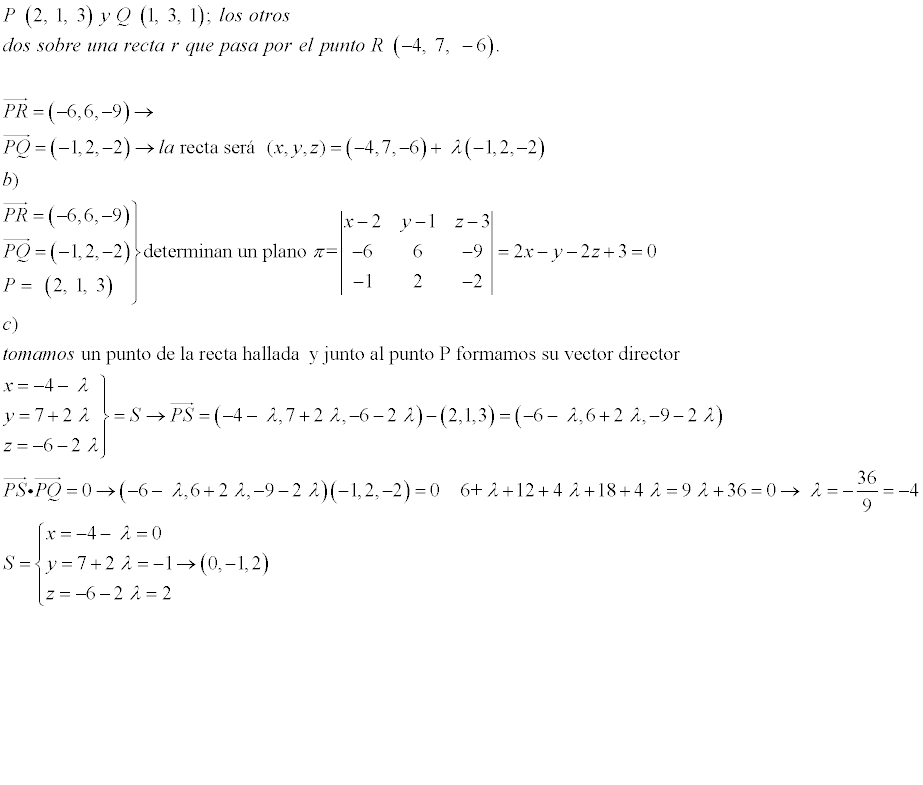
Hola, a ver si podeis ayudarme con el apartado C. Tengo la solución pero me es imposible imaginar los planos y no sé como plantearlo...
Un rectángulo tiene dos vértices consecutivos en los puntos P (2, 1, 3) y Q (1, 3, 1); los otros
dos sobre una recta r que pasa por el punto R (–4, 7, –6).
a) Calcular la ecuación de la recta r.
b) Calcular la ecuación del plano que contiene al cuadrado.
c) Hallar las coordenadas de uno de los otros vértices.
Hola, estoy programando un sensor ultrasónico y quiero pasar los 343m/s de la velocidad el sonido a cm/us, hago el factor de conversión y me da 0.343, el caso es que miró en foros de Arduino y tal y el resultado es de 29,2 y la verdad no se pq, ya lo he preguntado en su foro pero no son muy constantes, en cambio aquí si, si podés decirme simplemente que se hace ( con los pasos para entenderlo) lo agradecería. Gracias
Tengo otro ejercicio.
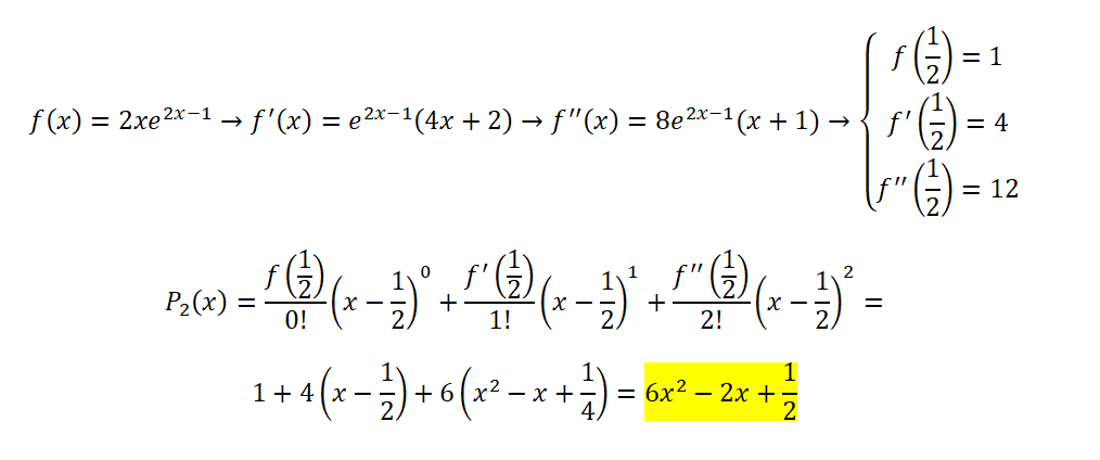
Calcular la ecuación del polinomio de Taylor de grado 2 de la función f(x)=2x·e2x-1 en el punto x=1/2
Expresar la solución en la forma ax2+bx+c
Muchas gracias
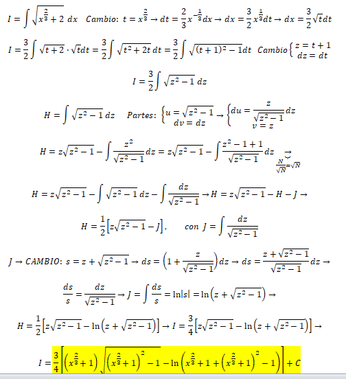
Esta integral se me ha atrangatado por completo. He llegado a realizar hasta dos cambios de variable y no he conseguido resolverla. Si alguien me dice un truco para este tipo de integrales irracionales le estaría muy agradecido.