Foro de preguntas y respuestas de Matemáticas

logo beUnicoos
Los foros de unicoos se han unificado en nuestra nueva plataforma beUnicoos. Para dejar nuevas preguntas deberás hacerlo allí, donde además podrás encontrar nuevas asignaturas y herramientas para ayudarte más con tus estudios.

  • icon

    Lucas
    el 3/12/17

    Buenas tardes,

    Podrían ayudarme con este ejercicio? Tengo bastantes dudas:

    Muchísimas gracias!

    replythumb_up0 voto/sflag
    icon

    Antonius Benedictus
    el 3/12/17


    thumb_up1 voto/sflag
  • icon

    José Luis
    el 3/12/17

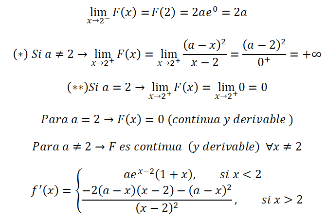
    Por favor es urgente, alguien puede ayudarme con éste problema de geometría que no se ni por donde empezarlo. Saludos 


    replythumb_up0 voto/sflag
    icon

    Antonius Benedictus
    el 3/12/17

    Como desconozco de cuánta artillería matemática dispones, te lo he resuelto por las bravas:


    thumb_up0 voto/sflag
  • icon

    Pedro Matas Rubio
    el 3/12/17

    Buenas tardes,

    Tengo otro ejercicio. Dada la función: f(x)=2x·e2x-1   calcular la ecuación de la recta tangente a la función f(x) en el punto x=1/2

    Muchas gracias,


    replythumb_up0 voto/sflag
    icon

    Antonius Benedictus
    el 3/12/17




    thumb_up1 voto/sflag
    icon

    Pedro Matas Rubio
    el 3/12/17

    Muchísimas gracias!


    thumb_up0 voto/sflag
  • Usuario eliminado
    el 3/12/17

    Hola me pueden ayudar con este ejercicio de probabilidad?

    Un colegio  conduce una encuesta de comidas hechas por su cafeteria. Se encontró que 4/5 de los estudiantes les gusta la pasta. 3 estudiantes son elegios al azar.  Cual es la probabilidad de que a los 3 estudiantes les guste la pasta?

    replythumb_up0 voto/sflag
    icon

    Antonius Benedictus
    el 3/12/17

    p=(4/5)^3=64/125

    thumb_up0 voto/sflag
  • icon

    Vivi
    el 3/12/17

    El punto de interseccion de la recta 2x+y -2=0 con el eje X es el punto P (0,3)  V oF??


    Lo que tengo que hacer es X=0 y despejar "y" no ??

    replythumb_up0 voto/sflag
    icon

    Antonius Benedictus
    el 3/12/17

    La ecuación del eje OX  es y=0.

    Tienes que poner y=0 y despejar x.

    thumb_up0 voto/sflag
  • icon

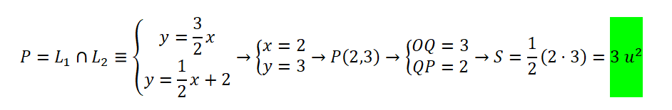
    Vivi
    el 3/12/17

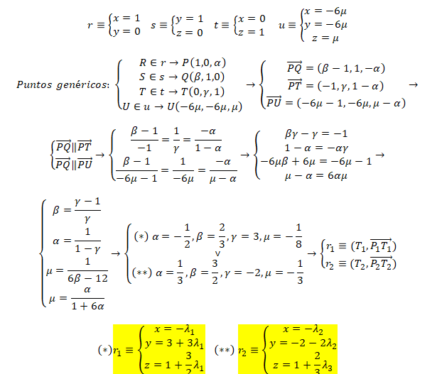
    Me ayudan con el 7

    replythumb_up0 voto/sflag
    icon

    Antonius Benedictus
    el 3/12/17


    thumb_up0 voto/sflag
  • icon

    Jon Aginaga
    el 3/12/17

    Si tenemos dos puntos, ¿cómo se calcula la función lineal que forman ambas?

    replythumb_up0 voto/sflag
    icon

    Antonius Benedictus
    el 3/12/17


    thumb_up0 voto/sflag
  • icon

    Luis Vila Perez
    el 3/12/17
    flag

    Introducir en un chat de whatsapp consultas de matemáticas con caracteres matemáticos como integral, límites , etc cómo puede hacerse.

    Hay alguna utilidad especial. Algún truco para hacerlo ? . Gracias



    replythumb_up0 voto/sflag
    icon

    XenoPhenom
    el 3/12/17
    flag

    Una foto.

    thumb_up0 voto/sflag
  • icon

    Pedro Matas Rubio
    el 3/12/17

    Hola buenas tardes,

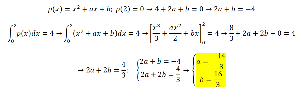
    Tengo un ejercicio donde me dan un polinomio: p(x)=x2+ax+b , que se anula para x=2 y que cumple ∫20 p(X) dx=4 y me piden calcular a y b.

    ¿Podeis ayudarme?


    replythumb_up0 voto/sflag
    icon

    Antonius Benedictus
    el 3/12/17


    thumb_up1 voto/sflag
    icon

    Pedro Matas Rubio
    el 3/12/17

    Muchísimas gracias!


    thumb_up0 voto/sflag
  • icon

    Davi
    el 3/12/17

    Hola,

    Por favor, ¿me pueden ayudar con esta pregunta sobre integrales? Muchas gracias!


    replythumb_up0 voto/sflag
    icon

    Antonius Benedictus
    el 3/12/17


    thumb_up1 voto/sflag
    icon

    Davi
    el 3/12/17

    Muchas gracias!


    thumb_up0 voto/sflag