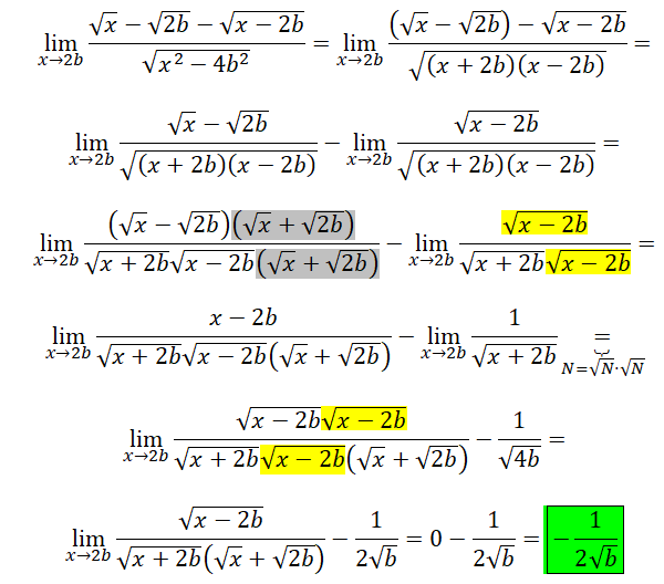
Como resuelvo sin l'hopital? Se que abajo hay una diferencia de cuadrado y se que que sale un (x-2b) que se me va a cancelar con algo del numerador, pero nose como arreglar arriba para que aparezca eso x.x

Separas en dos términos, y la expresión de la función queda:
f(x) = ( √(x)-√(2b) )/√(x2-4b2) - √(x-2b)/√(x2-4b2) = f1(x) - f2(x).
Luego, considera cada término por separado:
1)
f1(x) = ( √(x)-√(2b) )/√(x2-4b2) =
multiplicas al numerador y al denominador por la expresión "conjugada" del numerador:
= ( √(x)-√(2b) )( √(x)+√(2b) ) / √(x2-4b2)( √(x)+√(2b) ) = distribuyes en el numerador (observa que tienes cancelaciones):
= (x-2b) / √(x2-4b2)( √(x)+√(2b) ) = factorizas y distribuyes la raíz en el primer factor del denominador, y queda:
= (x-2b) / √(x-2b)√(x+2b)( √(x)+√(2b) ) = simplificas el numerador con el primer factor del denominador, y queda:
= √(x-2b) / √(x+2b)( √(x)+√(2b) ),
luego, plantea el límite para x tendiendo a 2b:
L1 = Lím(x→2b) f1(x) = Lím(x→2b) √(x-2b) / √(x+2b)( √(x)+√(2b) ) = 0 / √(4b)(2√(2b)) = 0.
2)
f2(x) = √(x-2b)/√(x2-4b2) = factorizas el argumento y distribuyes la raíz en el denominador, y queda:
= √(x-2b) / √(x-2b)√(x+2b) = simplificas el numerador con el primer factor del denominador, y queda:
= 1 / √(x+2b),
luego, plantea el límite para x tendiendo a 2b:
L2 = Lím(x→2b) f2(x) = Lím(x→2b) 1 / √(x+2b) = 1/√(4b).
Luego, como tienes que los límites de los términos existen, tienes para el límite de tu enunciado:
L = Lím(x→2b) f(x) = L1 - L2 = 0 - 1/√(4b) = -1/√(4b) = -1/( 2√(b) ).
Espero haberte ayudado.
Buenos días.
Me podrían ayudar con este ejercicio por favor.
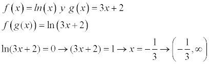
Si f(x)=ln(x) y g(x)=3x+2 , entonces el conjunto de positividad de h=FoG es igual a:
͏͏Ο(-1/3 ; +∞)
͏͏Ο(1 ; +∞)
Ο(0 ; +∞)
Ο(-2/3 ; +∞)
Desde ya muchas gracias

Observa que la primera función (g) tiene dominio R.
Observa que la segunda función (f) tiene dominio (0,+∞) = {x ∈ R / x > 0}.
Luego, recuerda las dos condiciones necesarias que debe cumplir un elemento del dominio de la función compuesta, para la existencia de la función g compuesta con f:
1°)
x ∈ Dg (observa que el dominio de la función g no impone restricciones);
2°)
g(x) ∈ Df, y como el dominio de la función f si impone condición, plantea:
g(x) > 0, sustituyes la expresión de la función en el primer miembro, y queda:
3x + 2 > 0, haces pasaje de término, y queda:
3x > -2, haces pasaje de factor como divisor, y queda:
x > - 2/3,
de donde tienes que el dominio de la función compuesta queda:
Dfog = (-2/3,+∞) = {x ∈ R / x > -2/3}.
Luego, plantea la expresión de la función compuesta g con f:
(f o g)(x) = f( g(x) ) = sustituyes la expresión de la primera función, y queda:
= f(3x+2) =
= ln(3x+2).
Luego, plantea la condición de postividad:
(f o g)(x) > 0, sustituyes la expresión de la función compuesta, y queda:
ln(3x+2) > 0, compones en ambos miembros con la función exponencial natural (observa que es una función creciente), y queda:
3x + 2 > 1, haces pasaje de término, y queda:
3x > -1, haces pasaje de factor como divisor, y queda:
x > -1/3,
por lo que puedes concluir que el intervalo de positividad de la función compuesta es:
(-1/3,+∞),
por lo que tienes que la primera opción es la respuesta correcta.
Espero haberte ayudado.
Considera los vectores u=(1,1,-3), v=(a,2,4) y w=(0,b,3). Calcula a y b sabiendo que u es perpendicular a v y v es perpendicular a w. Muchas gracias

Vamos con una orientación.
Recuerda que si dos vectores no nulos son perpendiculares tienes que su producto escalar es igual a cero.
Luego, plantea:
u•v = 0, sustituyes las expresiones de los vectores, y queda:
<1,1,-3>•<a,2,4> = 0, desarrollas el producto escalar, y queda la ecuación:
1*a + 1*2 - 3*4 = 0, resuelves términos numéricos, reduces términos semejantes, haces pasaje de términos, y queda:
a = 10.
Luego, plantea:
v•w = 0, sustituyes las expresiones de los vectores (observa que ya tienes el valor de la incógnita a), y queda:
<10,2,4>•<0,b,3> = 0, desarrollas el producto escalar, y queda la ecuación:
10*0 + 2*b + 4*3 = 0, resuelves términos numéricos, reduces términos semejantes, haces pasaje de términos, y queda:
b = -6.
Espero haberte ayudado.
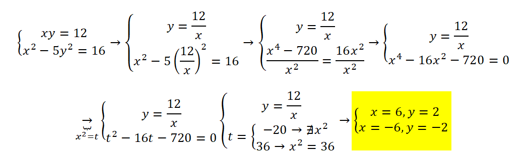
Buenas , no se resolver este sistema de ecuaciones.
xy=12
x2-5 y2=16

Observa que x e y deben ser distintos de cero, para que la primera ecuación tenga sentido.
Luego, haces pasaje de factor como divisor en la primera ecuación, y queda:
y = 12/x (1).
Luego, sustituyes la expresión señalada (1) en la segunda ecuación, y queda:
x2 - 5(12/x)2 = 16, resuelves la potencia, y luego el coeficiente en el segundo término, y queda:
x2 - 720/x2 = 16, multiplicas por x2 en todos los términos de la ecuación (recuerda que x es distinto de cero), y queda:
x4 - 720 = 16x2, haces pasaje de término, y queda:
x4 - 16x2 - 720 = 0 (1);
luego, plantea la sustitución (cambio de incógnita):
x2 = w (2) (observa que w toma valores estrictamente positivos),
luego, sustituyes en la ecuación señalada (2), y queda:
w2 - 16w - 720 = 0, que es una ecuación polinómica cuadrática cuyas soluciones son:
a)
w = -20, que no es una solución válida para este problema (recuerda que w toma valores estrictamente positivos),
b)
w = 36, que si es una solución válida para este problema,
luego, reemplazas en la ecuación señalada (2), y queda:
x2 = 36, haces pasaje de potencia como raíz, y tienes dos opciones:
b1)
x = -6, luego reemplazas en la ecuación señalada (1), y queda: y = -2, por lo que tienes el punto A1(-6,-2),
b2)
x = 6, luego reemplazas en la ecuación señalada (1), y queda: y = 2, por lo que tienes el punto A2(6,2).
Espero haberte ayudado.
Buenos días, ¿podrían ayudarme con un problema? Envío el enunciado y hasta donde he llegado. Gracias.

Vas muy bien.
Has estudiado la continuidad de la función en el punto de corte (x = 1), y tienes la ecuación:
m = a + b + 1 (1).
Has planteado correctamente la expresión de la función derivada:
f ' (x) =
m si x < 1
a determinar si x = 1
2ax + b si x > 1;
has planteado correctamente los limites laterales de la función derivada para x tendiendo a 1, que son: m (por izquierda) y 2a+b (por derecha),
luego, plantea la igualdad entre los límites laterales, y tienes la ecuación:
m = 2a + b (2).
Luego, plantea la condición de punto crítico (posible máximo o posible mínimo) para x = 3:
f ' (3) = 0,
luego, sustituyes la expresión de la función derivada evaluada en el primer miembro (observa que corresponde al segundo trozo), y queda:
6a + b = 0 (3).
Luego, sustituyes la expresión señalada (2) en la ecuación señalada (1), y queda:
2a + b = a + b + 1, haces pasajes de términos (observa que tienes cancelaciones), y queda: a = 1;
luego, reemplazas en la ecuación señalada (3), haces pasaje de término, y queda: b = -6;
luego, reemplazas en la ecuación señalada (1), resuelves y queda: m = -4.
Luego, la expresión de la función, cuyo dominio es R, queda:
f(x) =
-4x si x < 1
x2 - 6x + 1 si x ≥ 1,
y observa que la función es continua en x = 1.
Luego, la expresión de la función derivada primera queda:
f ' (x) =
-4 si x < 1
-4 si x = 1
2x-6 si x > 1,
y observa que está definida en R, y observa que x = 3 es un punto crítico de la función.
Luego, plantea la expresión de la función derivada segunda:
f ' ' (x) =
0 si x < 1
no está definida si x = 1
2 si x > 1,
y observa que está definida en R-{1}, y que es positiva en el punto crítico, por lo que la gráfica de la función es cóncava hacia arriba en el punto crítico x = 3, por lo que tienes que la función alcanza un mínimo relativo en dicho punto.
Espero haberte ayudado.
Si hace tres años la edad de Luis era el triple de la edad de Ana, y en siete años será el doble. ¿Cuál era la edad de Luis hace tres años?

Puedes llamar x a la edad de Luís hace tres años (observa que su edad actual es: x+3, y que su edad dentro de siete años será: x+10).
Puedes llamar y a la edad de Ana hace tres años (observa que su edad actual es: y+3, y que su edad dentro de siete años será: y+10).
Luego, plantea la relación entre las edades de las personas hace tres años:
x = 3y (1).
Luego, plantea la relación entre las edades de las personas dentro de siete años:
x+10 = 2(y+10), aquí distribuyes, y queda: x+10 = 2y+20, haces pasajes de términos, y queda:
x - 2y = 10 (2).
Luego, sustituyes la expresión señalada (1) en la ecuación señalada (2), y queda:
3y - 2y = 10, reduces términos semejantes, y queda:
y = 10 años.
Luego, reemplazas en la ecuación señalada (1) y queda:
x = 30 años.
Observa que la edad de Luis hace tres años era 30 años, su edad actual es 33 años, y su edad dentro de siete años será 40 años.
Observa que la edad de Ana hace tres años era 10 años, su edad actual es 13 años, y su edad dentro de siete años será 20 años.
Espero haberte ayudado.
yo denuevo.
por favor denme como sus tips o sus formulas para la aplicacion de derivadas y en que casos utilizan cada formula porfavoor
Lamento decirte que no hay ninguna "piedra filosofal"...lo único que tienen en común los ejercicios de aplicación de derivadas es que tendrás que hacer primeras, segundas y hasta terceras derivadas; pero tienes que practicar con multitud de ejercicios tipo para ver cuando/cómo tienes que cálcular el máximo, mínimo (optimización), funciones tangentes y normal, crecimiento, curvatura, l´hopital y las condiciones a las que tienes que ceñirte en cada problema...
Muy buenas para todos.
Primera ves que me comunico con ustedes.
Les mando unas fotos de ejercicios y si pueden resolverlo si no fuera molestia.
Fueron realizado para un examen que tuvimos.
Desde ya agradezco las respuestas,
Saludos.