Foro de preguntas y respuestas de Matemáticas

logo beUnicoos
Los foros de unicoos se han unificado en nuestra nueva plataforma beUnicoos. Para dejar nuevas preguntas deberás hacerlo allí, donde además podrás encontrar nuevas asignaturas y herramientas para ayudarte más con tus estudios.

  • icon

    Speak Meow
    el 1/12/17

    podrian ayudarme por favor, respuesta es 4


    replythumb_up0 voto/sflag
    icon

    Ángel
    el 1/12/17

    6

    Debe estar en lugar del 2º cuatro

    thumb_up0 voto/sflag
  • icon

    Speak Meow
    el 1/12/17

     podrian ayudarme por favor, respuesta es 16T


    replythumb_up0 voto/sflag
    icon

    Ángel
    el 1/12/17

    20P

    thumb_up0 voto/sflag
  • icon

    Speak Meow
    el 1/12/17

    podrian ayudarme por favor, respuesta es H74


    replythumb_up0 voto/sflag
    icon

    Ángel
    el 1/12/17

    H120

    thumb_up0 voto/sflag
  • icon

    Speak Meow
    el 1/12/17

    podrian ayudarme por favor, respuesta es 18J


    replythumb_up0 voto/sflag
    icon

    Ángel
    el 1/12/17

    24K

    thumb_up0 voto/sflag
  • icon

    Speak Meow
    el 1/12/17

    podrian ayudarme por favor, respuesta es 139,147


    replythumb_up0 voto/sflag
    icon

    Ángel
    el 1/12/17

    La respuesta es 140, 147


    **Observa que es +7, +8, +7, +8.....

    thumb_up0 voto/sflag
    icon

    Antonius Benedictus
    el 1/12/17

    Priscilla, ponte con los ejercicios seriamente.

    thumb_up0 voto/sflag
    icon

    César
    el 1/12/17


    thumb_up0 voto/sflag
  • icon

    Alexia
    el 1/12/17

    Hola, tengo problemas con esta ecuacion racional como seria la solucion? 

    porque cada vez que la hago me da una solucion diferente


    x-1          2            =    x2 - x -1

    ----   +    ----                --------------

    x         x*(x+2)        X2 +X -2


    replythumb_up0 voto/sflag
    icon

    Antonius Benedictus
    el 1/12/17


    thumb_up0 voto/sflag
    icon

    César
    el 1/12/17


    thumb_up0 voto/sflag
  • icon

    federico garcia
    el 1/12/17

    ayuda en este ejercicio gracias

    replythumb_up0 voto/sflag
    icon

    César
    el 1/12/17

    z=√(x^2+y^2) , basta sustituir z por  z=1, 2,,3....



    thumb_up0 voto/sflag
  • icon

    Maria Aguilar Guerrero
    el 1/12/17

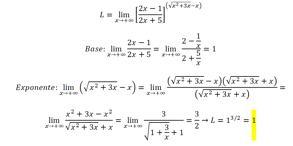
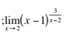
    COMO CALCULO ESTE LIMITE


    replythumb_up0 voto/sflag
    icon

    César
    el 1/12/17

  • icon

    Maria Aguilar Guerrero
    el 1/12/17

     

    COMO CALCULO ESTE LIMITE

    replythumb_up0 voto/sflag
    icon

    Antonius Benedictus
    el 1/12/17


    thumb_up0 voto/sflag
  • icon

    Maria Aguilar Guerrero
    el 1/12/17

    Dada la ecuación x+sen x=1

    a) (1 punto) Demuestra cuántas soluciones tiene la ecuación. Utiliza distintos conceptos de

    análisis y teoremas.

    b) (1 punto) Encuentra, basándote en algún teorema (indícalo), una solución con 2 cifras

    decimales exactas.



    replythumb_up0 voto/sflag
    icon

    Antonius Benedictus
    el 1/12/17


    thumb_up1 voto/sflag
    icon

    Antonius Benedictus
    el 1/12/17

    Esta es f(x)=x+sin(x)-1


    thumb_up0 voto/sflag
    icon

    César
    el 1/12/17

    Sea f una función continua en un intervalo cerrado [a, b] y toma valores de signo contrario en los extremos, entonces existe al menos un c ∈ (a, b) tal que f(c) = 0.

    como la f(x) es estrictamente creciente , solo pasará una sola vez por el eje X.Luego una única soluciòn.

    Sin recurrir al cálculo númerico desconozco como se pueden obtener 2 decimales exactos 



    thumb_up0 voto/sflag