Foro de preguntas y respuestas de Matemáticas

logo beUnicoos
Los foros de unicoos se han unificado en nuestra nueva plataforma beUnicoos. Para dejar nuevas preguntas deberás hacerlo allí, donde además podrás encontrar nuevas asignaturas y herramientas para ayudarte más con tus estudios.

  • icon

    Fabricio Sebastian Davila Diaz
    el 2/12/17

    AYUDAAA PORFAVOR¡¡



    replythumb_up0 voto/sflag
    icon

    Antonio
    el 3/12/17

    la c

    thumb_up0 voto/sflag
  • icon

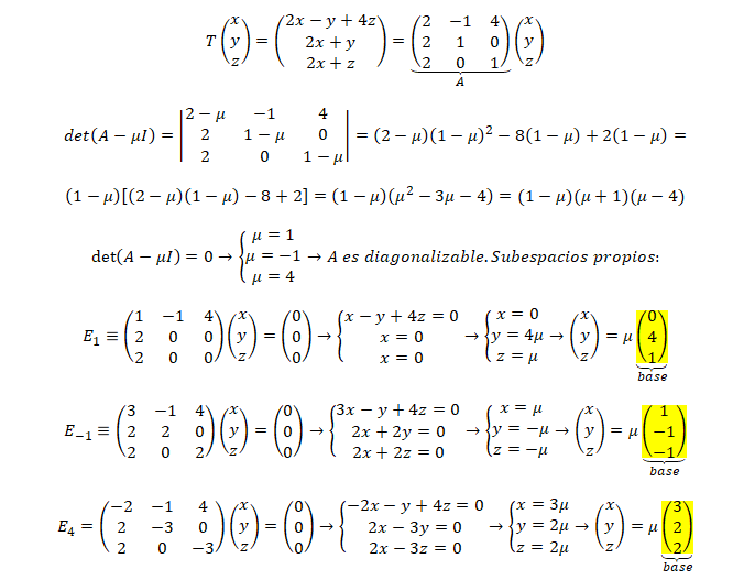
    Bastián Berrios Arancibia
    el 2/12/17

    Alguien que me pueda ayudar con este ejercicio de Transformaciones Lineales.


    replythumb_up0 voto/sflag
    icon

    Antonius Benedictus
    el 3/12/17


    thumb_up1 voto/sflag
    icon

    Bastián Berrios Arancibia
    el 4/12/17

    Muchas Gracias

    thumb_up0 voto/sflag
  • icon

    carla R
    el 2/12/17
    flagflag

       hola!, si os soy sincera todo el resto de ejercicios me han costado pero estos dos ya ni se. gracias

    replythumb_up0 voto/sflag
    icon

    Ángel
    el 3/12/17

    Envía tus dudas, no un testamento.

    thumb_up0 voto/sflag
  • icon

    Dipika Holos
    el 2/12/17

      buenas, de todos los ejercicios que memandaron este es el único que  no tengo ni idea de como hacer, ni si quiera empezarlo. supuestamente es el tema de derivadas

    replythumb_up0 voto/sflag
    icon

    Antonio
    el 3/12/17

    Debes encontrar un punto de la curva tal que la distancia entre el origen y ese punto sea mínimo: el punto es (1/√2 , 1/√2) y la distancia 1

    thumb_up0 voto/sflag
    icon

    Dipika Holos
    el 3/12/17

    pero como llegaste hasta ahi? es lo que te digo, ni empezarlo se

    thumb_up0 voto/sflag
  • icon

    Diego Mauricio Heredia
    el 2/12/17

    Hola saludos ayuda por favor con la ecuacion trigonometrica. Me pide hallar la mayor. Solucion. 


    replythumb_up0 voto/sflag
    icon

    Ursicino
    el 2/12/17

    El 4 va al otro lado de la ecuación dividiendo, con lo que tienes 1/16

    sustituye cos2x por (1-sen2x)

    si haces el producto tienes sen2x-sen4x=1/16

    o lo que es lo mismo sen4x -sen2x + 1/16=0

    se resuelve la ecuación bicuadrada y listo

    thumb_up0 voto/sflag
    icon

    Ángel
    el 2/12/17

    4sen2x*(1-sen2x)= 1/4

    4sen2x-4sen4x= 1/4

    4sen4x-4sen2x - 1/4=0

    (16sen4x-16sen2x -1)/4=0

    16sen4x-16sen2x -1=0

    t=sen2x

    16t2-16t -1=0

    t 1,2= (16±√(256-4*16*(-1)))/(2*16)  =  (16±(8√5))/32 = (2±√5)/4----->  t1= (2+√5)/4 , t2= (2-√5)/4 

    t1=sen2x=(2+√5)/4   -------> senx= ± √((2+√5)/4)   -------> x1=arcsen(√((2+√5)/4)) , x2arcsen (-√((2+√5)/4))

    t2sen2x=(2-√5)/4   -------> senx= ± √((2-√5)/4)    -------> x3=arcsen(√((2-√5)/4)) , x2arcsen (-√((2-√5)/4))


    thumb_up0 voto/sflag
  • icon

    Jon Aginaga
    el 2/12/17

    Buenas, ¿estaría la siguiente operación bien realizada? He probado hacerlo varias veces, pero en el ángulo mi resultado siempre es de 53º. Un saludo.

    replythumb_up0 voto/sflag
    icon

    Ángel
    el 3/12/17

    180º+53º= 233º

    thumb_up0 voto/sflag
    icon

    Jon Aginaga
    el 3/12/17

    ¿Por qué tendría que sumarle 180º? Muchas gracias.

    thumb_up0 voto/sflag
    icon

    Ángel
    el 3/12/17

    Porque las coordenadas correspondientes al punto dado están en el 3er cuadrante.

    thumb_up0 voto/sflag
  • icon

    MIGUEL HERMES
    el 2/12/17

    Por favor, podrían decirme cómo resolver este logaritmo, es que tengo un cacao mental.

    5log 100 - log 0'001 + (7log 100 - 4log 0'01)

    Muchas Gracias

    replythumb_up0 voto/sflag
    icon

    Antonius Benedictus
    el 2/12/17


    thumb_up0 voto/sflag
    icon

    Antonius Benedictus
    el 2/12/17

    thumb_up0 voto/sflag
  • icon

    Livaldo Ocanto
    el 2/12/17

    Este grafico seria asi? Mi segmento en rojo es lo qu me pide?

    replythumb_up0 voto/sflag
    icon

    Antonius Benedictus
    el 2/12/17

    Creo que se refiere a la medida del segmento de normal que  va desde el punto de tangencia a (x_N, 0)

    thumb_up0 voto/sflag
    icon

    Livaldo Ocanto
    el 2/12/17

    osea el segmento en rojo? No se me ocurre otra cosa

    thumb_up0 voto/sflag
    icon

    Antonius Benedictus
    el 2/12/17

    No, no. El segmento de la propia normal.

    MN




    thumb_up0 voto/sflag
    icon

    Livaldo Ocanto
    el 2/12/17

    Agh ok, ya lo vi gracias. 

    thumb_up0 voto/sflag
  • icon

    Héctor
    el 2/12/17

    esos radicales X ( , ayuda por favor con esta ineacuacion


    replythumb_up0 voto/sflag
    icon

    Ursicino
    el 2/12/17

    La raíz de x-3 está a ambos lados de forma que la puedes eliminar y ya te queda sólo dependiendo de x

    thumb_up1 voto/sflag
    icon

    Héctor
    el 2/12/17

    rayos, me equivoque de ejercicio es otro con radicales

    thumb_up0 voto/sflag
    icon

    Antonius Benedictus
    el 2/12/17


    thumb_up0 voto/sflag